Посмотреть на TensorFlow.org | Запускаем в Google Colab | Посмотреть исходный код на GitHub | Скачать блокнот |
Этот ноутбук готовит последовательность к последовательности (seq2seq) модели для испанского на английский язык на основе эффективных подходов к Внимания на основе нейронных машинного перевода . Это расширенный пример, предполагающий некоторые знания:
- От последовательности к моделям последовательности
- Основы TensorFlow ниже слоя keras:
- Работа с тензорами напрямую
- Написание пользовательского
keras.Models иkeras.layers
В то время как эта архитектура несколько устарела это все еще очень полезный проект для работы через , чтобы получить более глубокое понимание механизмов внимания (прежде чем переходить к Transformers ).
После обучения модели в этом ноутбуке, вы будете иметь возможность ввода испанского предложения, такие как, и вернуть английский перевод «¿Todavia Estan ан Каса?»: «Вы еще дома»
Полученная модель является экспортируемой как tf.saved_model , так что он может быть использован в других средах TensorFlow.
Качество перевода приемлемое для игрушечного примера, но сгенерированный сюжет внимания, пожалуй, более интересен. Это показывает, какие части входного предложения привлекают внимание модели при переводе:

Настраивать
pip install tensorflow_text
import numpy as np
import typing
from typing import Any, Tuple
import tensorflow as tf
import tensorflow_text as tf_text
import matplotlib.pyplot as plt
import matplotlib.ticker as ticker
В этом руководстве несколько слоев создается с нуля. Используйте эту переменную, если вы хотите переключаться между пользовательской и встроенной реализациями.
use_builtins = True
В этом руководстве используется множество низкоуровневых API, в которых легко ошибиться в форме. Этот класс используется для проверки форм на протяжении всего урока.
Проверка формы
class ShapeChecker():
def __init__(self):
# Keep a cache of every axis-name seen
self.shapes = {}
def __call__(self, tensor, names, broadcast=False):
if not tf.executing_eagerly():
return
if isinstance(names, str):
names = (names,)
shape = tf.shape(tensor)
rank = tf.rank(tensor)
if rank != len(names):
raise ValueError(f'Rank mismatch:\n'
f' found {rank}: {shape.numpy()}\n'
f' expected {len(names)}: {names}\n')
for i, name in enumerate(names):
if isinstance(name, int):
old_dim = name
else:
old_dim = self.shapes.get(name, None)
new_dim = shape[i]
if (broadcast and new_dim == 1):
continue
if old_dim is None:
# If the axis name is new, add its length to the cache.
self.shapes[name] = new_dim
continue
if new_dim != old_dim:
raise ValueError(f"Shape mismatch for dimension: '{name}'\n"
f" found: {new_dim}\n"
f" expected: {old_dim}\n")
Данные
Мы будем использовать язык набора данных предоставленный http://www.manythings.org/anki/ Этот набор данных содержит пары перевода языка в формате:
May I borrow this book? ¿Puedo tomar prestado este libro?
У них есть разные языки, но мы будем использовать англо-испанский набор данных.
Загрузите и подготовьте набор данных
Для удобства мы разместили копию этого набора данных в Google Cloud, но вы также можете загрузить свою собственную копию. После загрузки набора данных мы предпримем следующие шаги для подготовки данных:
- Добавить начало и конец маркера для каждого предложения.
- Очистите предложения, удалив специальные символы.
- Создайте индекс слова и обратный индекс слова (отображение словарей из слова → id и id → word).
- Добавляйте каждое предложение к максимальной длине.
# Download the file
import pathlib
path_to_zip = tf.keras.utils.get_file(
'spa-eng.zip', origin='http://storage.googleapis.com/download.tensorflow.org/data/spa-eng.zip',
extract=True)
path_to_file = pathlib.Path(path_to_zip).parent/'spa-eng/spa.txt'
Downloading data from http://storage.googleapis.com/download.tensorflow.org/data/spa-eng.zip 2646016/2638744 [==============================] - 0s 0us/step 2654208/2638744 [==============================] - 0s 0us/step
def load_data(path):
text = path.read_text(encoding='utf-8')
lines = text.splitlines()
pairs = [line.split('\t') for line in lines]
inp = [inp for targ, inp in pairs]
targ = [targ for targ, inp in pairs]
return targ, inp
targ, inp = load_data(path_to_file)
print(inp[-1])
Si quieres sonar como un hablante nativo, debes estar dispuesto a practicar diciendo la misma frase una y otra vez de la misma manera en que un músico de banjo practica el mismo fraseo una y otra vez hasta que lo puedan tocar correctamente y en el tiempo esperado.
print(targ[-1])
If you want to sound like a native speaker, you must be willing to practice saying the same sentence over and over in the same way that banjo players practice the same phrase over and over until they can play it correctly and at the desired tempo.
Создайте набор данных tf.data
Из этих массивов строк вы можете создать tf.data.Dataset строк, перемешивает и партия эффективны их:
BUFFER_SIZE = len(inp)
BATCH_SIZE = 64
dataset = tf.data.Dataset.from_tensor_slices((inp, targ)).shuffle(BUFFER_SIZE)
dataset = dataset.batch(BATCH_SIZE)
for example_input_batch, example_target_batch in dataset.take(1):
print(example_input_batch[:5])
print()
print(example_target_batch[:5])
break
tf.Tensor( [b'No s\xc3\xa9 lo que quiero.' b'\xc2\xbfDeber\xc3\xada repetirlo?' b'Tard\xc3\xa9 m\xc3\xa1s de 2 horas en traducir unas p\xc3\xa1ginas en ingl\xc3\xa9s.' b'A Tom comenz\xc3\xb3 a temerle a Mary.' b'Mi pasatiempo es la lectura.'], shape=(5,), dtype=string) tf.Tensor( [b"I don't know what I want." b'Should I repeat it?' b'It took me more than two hours to translate a few pages of English.' b'Tom became afraid of Mary.' b'My hobby is reading.'], shape=(5,), dtype=string)
Предварительная обработка текста
Одна из целей этого урока , чтобы построить модель , которая может быть экспортирована как tf.saved_model . Для того, чтобы сделать что экспортировали модель полезна она должна принять tf.string входов и вернуть tf.string выходов: Вся обработка текста происходит внутри модели.
Стандартизация
Модель работает с многоязычным текстом с ограниченным словарным запасом. Поэтому важно будет стандартизировать вводимый текст.
Первым шагом является нормализация Unicode для разделения символов с диакритическими знаками и замены символов совместимости их эквивалентами ASCII.
tensorflow_text пакет содержит операцию юникода нормализовать:
example_text = tf.constant('¿Todavía está en casa?')
print(example_text.numpy())
print(tf_text.normalize_utf8(example_text, 'NFKD').numpy())
b'\xc2\xbfTodav\xc3\xada est\xc3\xa1 en casa?' b'\xc2\xbfTodavi\xcc\x81a esta\xcc\x81 en casa?'
Нормализация Unicode будет первым шагом в функции стандартизации текста:
def tf_lower_and_split_punct(text):
# Split accecented characters.
text = tf_text.normalize_utf8(text, 'NFKD')
text = tf.strings.lower(text)
# Keep space, a to z, and select punctuation.
text = tf.strings.regex_replace(text, '[^ a-z.?!,¿]', '')
# Add spaces around punctuation.
text = tf.strings.regex_replace(text, '[.?!,¿]', r' \0 ')
# Strip whitespace.
text = tf.strings.strip(text)
text = tf.strings.join(['[START]', text, '[END]'], separator=' ')
return text
print(example_text.numpy().decode())
print(tf_lower_and_split_punct(example_text).numpy().decode())
¿Todavía está en casa? [START] ¿ todavia esta en casa ? [END]
Векторизация текста
Эта функция будет по стандартизации , завернутые в tf.keras.layers.TextVectorization слое , который будет обрабатывать извлечение словарного запаса и преобразование входного текста в последовательность маркеров.
max_vocab_size = 5000
input_text_processor = tf.keras.layers.TextVectorization(
standardize=tf_lower_and_split_punct,
max_tokens=max_vocab_size)
TextVectorization слой и многие другие слои предварительной обработки имеют adapt метод. Этот метод читает одну эпоху обучающих данных, а также много работает как Model.fix . Это adapt метод инициализирует слой , основанный на данных. Здесь определяется словарный запас:
input_text_processor.adapt(inp)
# Here are the first 10 words from the vocabulary:
input_text_processor.get_vocabulary()[:10]
['', '[UNK]', '[START]', '[END]', '.', 'que', 'de', 'el', 'a', 'no']
Это испанский TextVectorization слой, теперь строить и .adapt() на английском один:
output_text_processor = tf.keras.layers.TextVectorization(
standardize=tf_lower_and_split_punct,
max_tokens=max_vocab_size)
output_text_processor.adapt(targ)
output_text_processor.get_vocabulary()[:10]
['', '[UNK]', '[START]', '[END]', '.', 'the', 'i', 'to', 'you', 'tom']
Теперь эти слои могут преобразовывать набор строк в набор идентификаторов токенов:
example_tokens = input_text_processor(example_input_batch)
example_tokens[:3, :10]
<tf.Tensor: shape=(3, 10), dtype=int64, numpy=
array([[ 2, 9, 17, 22, 5, 48, 4, 3, 0, 0],
[ 2, 13, 177, 1, 12, 3, 0, 0, 0, 0],
[ 2, 120, 35, 6, 290, 14, 2134, 506, 2637, 14]])>
get_vocabulary метод может быть использован для преобразования маркеров идентификаторов обратно к тексту:
input_vocab = np.array(input_text_processor.get_vocabulary())
tokens = input_vocab[example_tokens[0].numpy()]
' '.join(tokens)
'[START] no se lo que quiero . [END] '
Возвращенные идентификаторы токенов дополняются нулями. Это легко превратить в маску:
plt.subplot(1, 2, 1)
plt.pcolormesh(example_tokens)
plt.title('Token IDs')
plt.subplot(1, 2, 2)
plt.pcolormesh(example_tokens != 0)
plt.title('Mask')
Text(0.5, 1.0, 'Mask')

Модель кодировщика / декодера
На следующей диаграмме показан обзор модели. На каждом временном шаге выход декодера объединяется с взвешенной суммой по закодированному входу, чтобы предсказать следующее слово. Диаграмма и формулы из бумаги Лыонга .

Прежде чем приступить к этому, определите несколько констант для модели:
embedding_dim = 256
units = 1024
Кодировщик
Начните с создания энкодера, синего цвета на диаграмме выше.
Кодировщик:
- Принимает список идентификаторов токенов (от
input_text_processor). - Смотрит вверх включените вектор для каждых маркеров (Использование
layers.Embedding). - Процессы вложения в новую последовательность (используя
layers.GRU). - Возврат:
- Обработанная последовательность. Это будет передано в голову внимания.
- Внутреннее состояние. Это будет использоваться для инициализации декодера.
class Encoder(tf.keras.layers.Layer):
def __init__(self, input_vocab_size, embedding_dim, enc_units):
super(Encoder, self).__init__()
self.enc_units = enc_units
self.input_vocab_size = input_vocab_size
# The embedding layer converts tokens to vectors
self.embedding = tf.keras.layers.Embedding(self.input_vocab_size,
embedding_dim)
# The GRU RNN layer processes those vectors sequentially.
self.gru = tf.keras.layers.GRU(self.enc_units,
# Return the sequence and state
return_sequences=True,
return_state=True,
recurrent_initializer='glorot_uniform')
def call(self, tokens, state=None):
shape_checker = ShapeChecker()
shape_checker(tokens, ('batch', 's'))
# 2. The embedding layer looks up the embedding for each token.
vectors = self.embedding(tokens)
shape_checker(vectors, ('batch', 's', 'embed_dim'))
# 3. The GRU processes the embedding sequence.
# output shape: (batch, s, enc_units)
# state shape: (batch, enc_units)
output, state = self.gru(vectors, initial_state=state)
shape_checker(output, ('batch', 's', 'enc_units'))
shape_checker(state, ('batch', 'enc_units'))
# 4. Returns the new sequence and its state.
return output, state
Вот как это до сих пор сочетается:
# Convert the input text to tokens.
example_tokens = input_text_processor(example_input_batch)
# Encode the input sequence.
encoder = Encoder(input_text_processor.vocabulary_size(),
embedding_dim, units)
example_enc_output, example_enc_state = encoder(example_tokens)
print(f'Input batch, shape (batch): {example_input_batch.shape}')
print(f'Input batch tokens, shape (batch, s): {example_tokens.shape}')
print(f'Encoder output, shape (batch, s, units): {example_enc_output.shape}')
print(f'Encoder state, shape (batch, units): {example_enc_state.shape}')
Input batch, shape (batch): (64,) Input batch tokens, shape (batch, s): (64, 14) Encoder output, shape (batch, s, units): (64, 14, 1024) Encoder state, shape (batch, units): (64, 1024)
Кодер возвращает свое внутреннее состояние, чтобы его состояние можно было использовать для инициализации декодера.
RNN также часто возвращает свое состояние, чтобы обрабатывать последовательность по нескольким вызовам. Вы увидите больше того, что строит декодер.
Голова внимания
Декодер использует внимание, чтобы выборочно фокусироваться на частях входной последовательности. Внимание принимает последовательность векторов в качестве входных данных для каждого примера и возвращает вектор «внимания» для каждого примера. Это внимание слой похож на layers.GlobalAveragePoling1D но внимание слой выполняет взвешенное среднее.
Давайте посмотрим, как это работает:


Где:
- \(s\) является индексом кодировщик.
- \(t\) является индексом декодера.
- \(\alpha_{ts}\) это гири внимания.
- \(h_s\) представляет собой последовательность выходов кодера принимают участие в ( «ключ» внимания и «значение» в терминологии трансформатора).
- \(h_t\) это состояние декодера идет к последовательности (внимание «запрос» в терминологии трансформатора).
- \(c_t\) это результирующий контекст вектор.
- \(a_t\) это конечный результат объединения «контекст» и «запрос».
Уравнения:
- Рассчитывает внимание весов, \(\alpha_{ts}\), как SoftMax через выходную последовательность кодера.
- Вычисляет вектор контекста как взвешенную сумму выходных сигналов кодировщика.
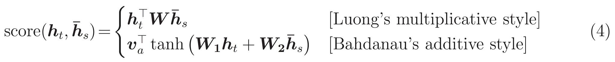
Последний является \(score\) функции. Его задача - вычислить скалярную логит-оценку для каждой пары ключ-запрос. Есть два распространенных подхода:

В этом руководстве используется аддитивное внимание Bahdanau в . TensorFlow включает в себя реализацию как в качестве layers.Attention и layers.AdditiveAttention . Класс ниже ручки матрица веса в паре layers.Dense слоев и вызывает реализацию встроенной.
class BahdanauAttention(tf.keras.layers.Layer):
def __init__(self, units):
super().__init__()
# For Eqn. (4), the Bahdanau attention
self.W1 = tf.keras.layers.Dense(units, use_bias=False)
self.W2 = tf.keras.layers.Dense(units, use_bias=False)
self.attention = tf.keras.layers.AdditiveAttention()
def call(self, query, value, mask):
shape_checker = ShapeChecker()
shape_checker(query, ('batch', 't', 'query_units'))
shape_checker(value, ('batch', 's', 'value_units'))
shape_checker(mask, ('batch', 's'))
# From Eqn. (4), `W1@ht`.
w1_query = self.W1(query)
shape_checker(w1_query, ('batch', 't', 'attn_units'))
# From Eqn. (4), `W2@hs`.
w2_key = self.W2(value)
shape_checker(w2_key, ('batch', 's', 'attn_units'))
query_mask = tf.ones(tf.shape(query)[:-1], dtype=bool)
value_mask = mask
context_vector, attention_weights = self.attention(
inputs = [w1_query, value, w2_key],
mask=[query_mask, value_mask],
return_attention_scores = True,
)
shape_checker(context_vector, ('batch', 't', 'value_units'))
shape_checker(attention_weights, ('batch', 't', 's'))
return context_vector, attention_weights
Проверьте уровень внимания
Создать BahdanauAttention слой:
attention_layer = BahdanauAttention(units)
Этот слой принимает 3 входа:
-
query: Это будет сгенерирован с помощью декодера, позже. -
value: Это будет выход кодера. -
mask: Для того, чтобы исключить отступы,example_tokens != 0
(example_tokens != 0).shape
TensorShape([64, 14])
Векторизованная реализация уровня внимания позволяет передавать пакет последовательностей векторов запросов и пакет последовательностей векторов значений. Результат:
- Пакет последовательностей векторов результатов размером с запрос.
- Пакетное внимание карты, с размером
(query_length, value_length).
# Later, the decoder will generate this attention query
example_attention_query = tf.random.normal(shape=[len(example_tokens), 2, 10])
# Attend to the encoded tokens
context_vector, attention_weights = attention_layer(
query=example_attention_query,
value=example_enc_output,
mask=(example_tokens != 0))
print(f'Attention result shape: (batch_size, query_seq_length, units): {context_vector.shape}')
print(f'Attention weights shape: (batch_size, query_seq_length, value_seq_length): {attention_weights.shape}')
Attention result shape: (batch_size, query_seq_length, units): (64, 2, 1024) Attention weights shape: (batch_size, query_seq_length, value_seq_length): (64, 2, 14)
Веса внимания следует подводить к 1.0 для каждой последовательности.
Вот веса внимание всей последовательности при t=0 :
plt.subplot(1, 2, 1)
plt.pcolormesh(attention_weights[:, 0, :])
plt.title('Attention weights')
plt.subplot(1, 2, 2)
plt.pcolormesh(example_tokens != 0)
plt.title('Mask')
Text(0.5, 1.0, 'Mask')

Из-за малой случайной инициализации веса внимание все близко к 1/(sequence_length) . Если вы увеличиваете весы для одной последовательности, вы можете видеть , что есть некоторые небольшие вариации , что модель может научиться расширять и эксплуатировать.
attention_weights.shape
TensorShape([64, 2, 14])
attention_slice = attention_weights[0, 0].numpy()
attention_slice = attention_slice[attention_slice != 0]
plt.suptitle('Attention weights for one sequence')
plt.figure(figsize=(12, 6))
a1 = plt.subplot(1, 2, 1)
plt.bar(range(len(attention_slice)), attention_slice)
# freeze the xlim
plt.xlim(plt.xlim())
plt.xlabel('Attention weights')
a2 = plt.subplot(1, 2, 2)
plt.bar(range(len(attention_slice)), attention_slice)
plt.xlabel('Attention weights, zoomed')
# zoom in
top = max(a1.get_ylim())
zoom = 0.85*top
a2.set_ylim([0.90*top, top])
a1.plot(a1.get_xlim(), [zoom, zoom], color='k')
[<matplotlib.lines.Line2D at 0x7fb42c5b1090>] <Figure size 432x288 with 0 Axes>

Декодер
Задача декодера - генерировать прогнозы для следующего выходного токена.
- Декодер получает полный вывод кодировщика.
- Он использует RNN для отслеживания того, что было создано на данный момент.
- Он использует свой выход RNN как запрос на внимание к выходным данным кодировщика, создавая вектор контекста.
- Он объединяет выходные данные RNN и вектор контекста с использованием уравнения 3 (ниже) для создания «вектора внимания».
- Он генерирует логит-прогнозы для следующего токена на основе «вектора внимания».

Вот Decoder класс и его инициализатор. Инициализатор создает все необходимые слои.
class Decoder(tf.keras.layers.Layer):
def __init__(self, output_vocab_size, embedding_dim, dec_units):
super(Decoder, self).__init__()
self.dec_units = dec_units
self.output_vocab_size = output_vocab_size
self.embedding_dim = embedding_dim
# For Step 1. The embedding layer convets token IDs to vectors
self.embedding = tf.keras.layers.Embedding(self.output_vocab_size,
embedding_dim)
# For Step 2. The RNN keeps track of what's been generated so far.
self.gru = tf.keras.layers.GRU(self.dec_units,
return_sequences=True,
return_state=True,
recurrent_initializer='glorot_uniform')
# For step 3. The RNN output will be the query for the attention layer.
self.attention = BahdanauAttention(self.dec_units)
# For step 4. Eqn. (3): converting `ct` to `at`
self.Wc = tf.keras.layers.Dense(dec_units, activation=tf.math.tanh,
use_bias=False)
# For step 5. This fully connected layer produces the logits for each
# output token.
self.fc = tf.keras.layers.Dense(self.output_vocab_size)
call метода для этого слоя принимает и возвращает несколько тензоров. Организуйте их в простые классы-контейнеры:
class DecoderInput(typing.NamedTuple):
new_tokens: Any
enc_output: Any
mask: Any
class DecoderOutput(typing.NamedTuple):
logits: Any
attention_weights: Any
Вот реализация call метода:
def call(self,
inputs: DecoderInput,
state=None) -> Tuple[DecoderOutput, tf.Tensor]:
shape_checker = ShapeChecker()
shape_checker(inputs.new_tokens, ('batch', 't'))
shape_checker(inputs.enc_output, ('batch', 's', 'enc_units'))
shape_checker(inputs.mask, ('batch', 's'))
if state is not None:
shape_checker(state, ('batch', 'dec_units'))
# Step 1. Lookup the embeddings
vectors = self.embedding(inputs.new_tokens)
shape_checker(vectors, ('batch', 't', 'embedding_dim'))
# Step 2. Process one step with the RNN
rnn_output, state = self.gru(vectors, initial_state=state)
shape_checker(rnn_output, ('batch', 't', 'dec_units'))
shape_checker(state, ('batch', 'dec_units'))
# Step 3. Use the RNN output as the query for the attention over the
# encoder output.
context_vector, attention_weights = self.attention(
query=rnn_output, value=inputs.enc_output, mask=inputs.mask)
shape_checker(context_vector, ('batch', 't', 'dec_units'))
shape_checker(attention_weights, ('batch', 't', 's'))
# Step 4. Eqn. (3): Join the context_vector and rnn_output
# [ct; ht] shape: (batch t, value_units + query_units)
context_and_rnn_output = tf.concat([context_vector, rnn_output], axis=-1)
# Step 4. Eqn. (3): `at = tanh(Wc@[ct; ht])`
attention_vector = self.Wc(context_and_rnn_output)
shape_checker(attention_vector, ('batch', 't', 'dec_units'))
# Step 5. Generate logit predictions:
logits = self.fc(attention_vector)
shape_checker(logits, ('batch', 't', 'output_vocab_size'))
return DecoderOutput(logits, attention_weights), state
Decoder.call = call
Кодер обрабатывает свою полную последовательность ввода с одним вызовом его RNN. Эта реализация декодера может сделать это , а также для эффективного обучения. Но в этом руководстве декодер будет запускаться в цикле по нескольким причинам:
- Гибкость: написание цикла дает вам прямой контроль над процедурой обучения.
- Ясность: Это можно сделать маскирующие трюки и использовать
layers.RNNилиtfa.seq2seqAPI , чтобы упаковать все это в одном вызове. Но записать это в виде цикла может быть яснее.- Петля бесплатное обучение демонстрируется в генерации текста tutiorial.
Теперь попробуйте использовать этот декодер.
decoder = Decoder(output_text_processor.vocabulary_size(),
embedding_dim, units)
Декодер принимает 4 входа.
-
new_tokens- последний маркер генерируется. Инициализировать декодер с"[START]"маркер. -
enc_output- ПорожденныйEncoder. -
mask- Логическое тензор , указывающий , гдеtokens != 0 -
state- Предыдущееstateвывода из декодера (внутреннее состояние RNN декодера). Pass неNoneдо нуля инициализировать его. Исходный документ инициализирует его из конечного состояния RNN кодировщика.
# Convert the target sequence, and collect the "[START]" tokens
example_output_tokens = output_text_processor(example_target_batch)
start_index = output_text_processor.get_vocabulary().index('[START]')
first_token = tf.constant([[start_index]] * example_output_tokens.shape[0])
# Run the decoder
dec_result, dec_state = decoder(
inputs = DecoderInput(new_tokens=first_token,
enc_output=example_enc_output,
mask=(example_tokens != 0)),
state = example_enc_state
)
print(f'logits shape: (batch_size, t, output_vocab_size) {dec_result.logits.shape}')
print(f'state shape: (batch_size, dec_units) {dec_state.shape}')
logits shape: (batch_size, t, output_vocab_size) (64, 1, 5000) state shape: (batch_size, dec_units) (64, 1024)
Выполните выборку токена по логитам:
sampled_token = tf.random.categorical(dec_result.logits[:, 0, :], num_samples=1)
Расшифруйте токен как первое слово вывода:
vocab = np.array(output_text_processor.get_vocabulary())
first_word = vocab[sampled_token.numpy()]
first_word[:5]
array([['already'],
['plants'],
['pretended'],
['convince'],
['square']], dtype='<U16')
Теперь используйте декодер для создания второго набора логитов.
- Пропустите то же
enc_outputиmask, они не изменились. - Передайте сэмпл фишку , как
new_tokens. - Пропустите
decoder_stateдекодера возвращенной в прошлый раз, поэтому РНН продолжает с памятью , где остановился в прошлый раз.
dec_result, dec_state = decoder(
DecoderInput(sampled_token,
example_enc_output,
mask=(example_tokens != 0)),
state=dec_state)
sampled_token = tf.random.categorical(dec_result.logits[:, 0, :], num_samples=1)
first_word = vocab[sampled_token.numpy()]
first_word[:5]
array([['nap'],
['mean'],
['worker'],
['passage'],
['baked']], dtype='<U16')
Обучение
Теперь, когда у вас есть все компоненты модели, пора приступить к обучению модели. Вам понадобиться:
- Функция потерь и оптимизатор для выполнения оптимизации.
- Функция шага обучения, определяющая, как обновлять модель для каждого входного / целевого пакета.
- Цикл обучения для управления обучением и сохранения контрольных точек.
Определите функцию потерь
class MaskedLoss(tf.keras.losses.Loss):
def __init__(self):
self.name = 'masked_loss'
self.loss = tf.keras.losses.SparseCategoricalCrossentropy(
from_logits=True, reduction='none')
def __call__(self, y_true, y_pred):
shape_checker = ShapeChecker()
shape_checker(y_true, ('batch', 't'))
shape_checker(y_pred, ('batch', 't', 'logits'))
# Calculate the loss for each item in the batch.
loss = self.loss(y_true, y_pred)
shape_checker(loss, ('batch', 't'))
# Mask off the losses on padding.
mask = tf.cast(y_true != 0, tf.float32)
shape_checker(mask, ('batch', 't'))
loss *= mask
# Return the total.
return tf.reduce_sum(loss)
Реализуйте шаг обучения
Начнет с классом модели, процесс обучения будет осуществляться как train_step методу на этой модели. См Настройка подходит для деталей.
Здесь train_step метод является оберткой _train_step реализации , которая придет позже. Эта оболочка включает в себя переключатель для включения и выключения tf.function компиляции, чтобы сделать отладку легче.
class TrainTranslator(tf.keras.Model):
def __init__(self, embedding_dim, units,
input_text_processor,
output_text_processor,
use_tf_function=True):
super().__init__()
# Build the encoder and decoder
encoder = Encoder(input_text_processor.vocabulary_size(),
embedding_dim, units)
decoder = Decoder(output_text_processor.vocabulary_size(),
embedding_dim, units)
self.encoder = encoder
self.decoder = decoder
self.input_text_processor = input_text_processor
self.output_text_processor = output_text_processor
self.use_tf_function = use_tf_function
self.shape_checker = ShapeChecker()
def train_step(self, inputs):
self.shape_checker = ShapeChecker()
if self.use_tf_function:
return self._tf_train_step(inputs)
else:
return self._train_step(inputs)
В целом реализация для Model.train_step метода заключается в следующем:
- Получите партию
input_text, target_textотtf.data.Dataset. - Преобразуйте эти необработанные текстовые вводы во встраиваемые токены и маски.
- Запустите кодировщик на
input_tokens, чтобы получитьencoder_outputиencoder_state. - Инициализировать состояние декодера и потерю.
- Петля над
target_tokens:- Пошагово запускайте декодер.
- Рассчитайте убыток для каждого шага.
- Накопите средний убыток.
- Вычислить градиент потери и использовать оптимизатор для применения обновлений к модели
trainable_variables.
_preprocess метод, добавлен ниже, реализует шаги # 1 и # 2:
def _preprocess(self, input_text, target_text):
self.shape_checker(input_text, ('batch',))
self.shape_checker(target_text, ('batch',))
# Convert the text to token IDs
input_tokens = self.input_text_processor(input_text)
target_tokens = self.output_text_processor(target_text)
self.shape_checker(input_tokens, ('batch', 's'))
self.shape_checker(target_tokens, ('batch', 't'))
# Convert IDs to masks.
input_mask = input_tokens != 0
self.shape_checker(input_mask, ('batch', 's'))
target_mask = target_tokens != 0
self.shape_checker(target_mask, ('batch', 't'))
return input_tokens, input_mask, target_tokens, target_mask
TrainTranslator._preprocess = _preprocess
_train_step метод, добавлен ниже, обрабатывает оставшиеся шаги для запуска на самом деле декодер , кроме:
def _train_step(self, inputs):
input_text, target_text = inputs
(input_tokens, input_mask,
target_tokens, target_mask) = self._preprocess(input_text, target_text)
max_target_length = tf.shape(target_tokens)[1]
with tf.GradientTape() as tape:
# Encode the input
enc_output, enc_state = self.encoder(input_tokens)
self.shape_checker(enc_output, ('batch', 's', 'enc_units'))
self.shape_checker(enc_state, ('batch', 'enc_units'))
# Initialize the decoder's state to the encoder's final state.
# This only works if the encoder and decoder have the same number of
# units.
dec_state = enc_state
loss = tf.constant(0.0)
for t in tf.range(max_target_length-1):
# Pass in two tokens from the target sequence:
# 1. The current input to the decoder.
# 2. The target for the decoder's next prediction.
new_tokens = target_tokens[:, t:t+2]
step_loss, dec_state = self._loop_step(new_tokens, input_mask,
enc_output, dec_state)
loss = loss + step_loss
# Average the loss over all non padding tokens.
average_loss = loss / tf.reduce_sum(tf.cast(target_mask, tf.float32))
# Apply an optimization step
variables = self.trainable_variables
gradients = tape.gradient(average_loss, variables)
self.optimizer.apply_gradients(zip(gradients, variables))
# Return a dict mapping metric names to current value
return {'batch_loss': average_loss}
TrainTranslator._train_step = _train_step
_loop_step метод, добавлено ниже, выполняет декодер и вычисляет инкрементную потерю и новое состояние декодера ( dec_state ).
def _loop_step(self, new_tokens, input_mask, enc_output, dec_state):
input_token, target_token = new_tokens[:, 0:1], new_tokens[:, 1:2]
# Run the decoder one step.
decoder_input = DecoderInput(new_tokens=input_token,
enc_output=enc_output,
mask=input_mask)
dec_result, dec_state = self.decoder(decoder_input, state=dec_state)
self.shape_checker(dec_result.logits, ('batch', 't1', 'logits'))
self.shape_checker(dec_result.attention_weights, ('batch', 't1', 's'))
self.shape_checker(dec_state, ('batch', 'dec_units'))
# `self.loss` returns the total for non-padded tokens
y = target_token
y_pred = dec_result.logits
step_loss = self.loss(y, y_pred)
return step_loss, dec_state
TrainTranslator._loop_step = _loop_step
Проверить шаг обучения
Построить TrainTranslator , и настроить его для обучения с использованием Model.compile методы:
translator = TrainTranslator(
embedding_dim, units,
input_text_processor=input_text_processor,
output_text_processor=output_text_processor,
use_tf_function=False)
# Configure the loss and optimizer
translator.compile(
optimizer=tf.optimizers.Adam(),
loss=MaskedLoss(),
)
Проверяют на train_step . Для такой текстовой модели потеря должна начинаться рядом с:
np.log(output_text_processor.vocabulary_size())
8.517193191416236
%%time
for n in range(10):
print(translator.train_step([example_input_batch, example_target_batch]))
print()
{'batch_loss': <tf.Tensor: shape=(), dtype=float32, numpy=7.5849695>}
{'batch_loss': <tf.Tensor: shape=(), dtype=float32, numpy=7.55271>}
{'batch_loss': <tf.Tensor: shape=(), dtype=float32, numpy=7.4929113>}
{'batch_loss': <tf.Tensor: shape=(), dtype=float32, numpy=7.3296022>}
{'batch_loss': <tf.Tensor: shape=(), dtype=float32, numpy=6.80437>}
{'batch_loss': <tf.Tensor: shape=(), dtype=float32, numpy=5.000246>}
{'batch_loss': <tf.Tensor: shape=(), dtype=float32, numpy=5.8740363>}
{'batch_loss': <tf.Tensor: shape=(), dtype=float32, numpy=4.794589>}
{'batch_loss': <tf.Tensor: shape=(), dtype=float32, numpy=4.3175836>}
{'batch_loss': <tf.Tensor: shape=(), dtype=float32, numpy=4.108163>}
CPU times: user 5.49 s, sys: 0 ns, total: 5.49 s
Wall time: 5.45 s
Хотя это проще отлаживать без tf.function это даст прирост производительности. Так что теперь , что _train_step метод работает, попробуйте tf.function -wrapped _tf_train_step , для достижения максимальной производительности во время тренировки:
@tf.function(input_signature=[[tf.TensorSpec(dtype=tf.string, shape=[None]),
tf.TensorSpec(dtype=tf.string, shape=[None])]])
def _tf_train_step(self, inputs):
return self._train_step(inputs)
TrainTranslator._tf_train_step = _tf_train_step
translator.use_tf_function = True
Первый вызов будет медленным, потому что он отслеживает функцию.
translator.train_step([example_input_batch, example_target_batch])
2021-12-04 12:09:48.074769: E tensorflow/core/grappler/optimizers/meta_optimizer.cc:812] function_optimizer failed: INVALID_ARGUMENT: Input 6 of node gradient_tape/while/while_grad/body/_531/gradient_tape/while/gradients/while/decoder_1/gru_3/PartitionedCall_grad/PartitionedCall was passed variant from gradient_tape/while/while_grad/body/_531/gradient_tape/while/gradients/while/decoder_1/gru_3/PartitionedCall_grad/TensorListPopBack_2:1 incompatible with expected float.
2021-12-04 12:09:48.180156: E tensorflow/core/grappler/optimizers/meta_optimizer.cc:812] layout failed: OUT_OF_RANGE: src_output = 25, but num_outputs is only 25
2021-12-04 12:09:48.285846: E tensorflow/core/grappler/optimizers/meta_optimizer.cc:812] tfg_optimizer{} failed: INVALID_ARGUMENT: Input 6 of node gradient_tape/while/while_grad/body/_531/gradient_tape/while/gradients/while/decoder_1/gru_3/PartitionedCall_grad/PartitionedCall was passed variant from gradient_tape/while/while_grad/body/_531/gradient_tape/while/gradients/while/decoder_1/gru_3/PartitionedCall_grad/TensorListPopBack_2:1 incompatible with expected float.
when importing GraphDef to MLIR module in GrapplerHook
2021-12-04 12:09:48.307794: E tensorflow/core/grappler/optimizers/meta_optimizer.cc:812] function_optimizer failed: INVALID_ARGUMENT: Input 6 of node gradient_tape/while/while_grad/body/_531/gradient_tape/while/gradients/while/decoder_1/gru_3/PartitionedCall_grad/PartitionedCall was passed variant from gradient_tape/while/while_grad/body/_531/gradient_tape/while/gradients/while/decoder_1/gru_3/PartitionedCall_grad/TensorListPopBack_2:1 incompatible with expected float.
2021-12-04 12:09:48.425447: W tensorflow/core/common_runtime/process_function_library_runtime.cc:866] Ignoring multi-device function optimization failure: INVALID_ARGUMENT: Input 1 of node while/body/_1/while/TensorListPushBack_56 was passed float from while/body/_1/while/decoder_1/gru_3/PartitionedCall:6 incompatible with expected variant.
{'batch_loss': <tf.Tensor: shape=(), dtype=float32, numpy=4.045638>}
Но после того, что он, как правило , 2-3x быстрее , чем нетерпеливый train_step метода:
%%time
for n in range(10):
print(translator.train_step([example_input_batch, example_target_batch]))
print()
{'batch_loss': <tf.Tensor: shape=(), dtype=float32, numpy=4.1098256>}
{'batch_loss': <tf.Tensor: shape=(), dtype=float32, numpy=4.169871>}
{'batch_loss': <tf.Tensor: shape=(), dtype=float32, numpy=4.139249>}
{'batch_loss': <tf.Tensor: shape=(), dtype=float32, numpy=4.0410743>}
{'batch_loss': <tf.Tensor: shape=(), dtype=float32, numpy=3.9664454>}
{'batch_loss': <tf.Tensor: shape=(), dtype=float32, numpy=3.895707>}
{'batch_loss': <tf.Tensor: shape=(), dtype=float32, numpy=3.8154407>}
{'batch_loss': <tf.Tensor: shape=(), dtype=float32, numpy=3.7583396>}
{'batch_loss': <tf.Tensor: shape=(), dtype=float32, numpy=3.6986444>}
{'batch_loss': <tf.Tensor: shape=(), dtype=float32, numpy=3.640298>}
CPU times: user 4.4 s, sys: 960 ms, total: 5.36 s
Wall time: 1.67 s
Хорошая проверка новой модели - увидеть, что она может превзойти одну партию входных данных. Попробуйте, убыток должен быстро упасть до нуля:
losses = []
for n in range(100):
print('.', end='')
logs = translator.train_step([example_input_batch, example_target_batch])
losses.append(logs['batch_loss'].numpy())
print()
plt.plot(losses)
.................................................................................................... [<matplotlib.lines.Line2D at 0x7fb427edf210>]

Теперь, когда вы уверены, что этап обучения работает, создайте новую копию модели для обучения с нуля:
train_translator = TrainTranslator(
embedding_dim, units,
input_text_processor=input_text_processor,
output_text_processor=output_text_processor)
# Configure the loss and optimizer
train_translator.compile(
optimizer=tf.optimizers.Adam(),
loss=MaskedLoss(),
)
Обучите модель
Хотя нет ничего плохого в написании собственный цикл пользовательских подготовки, реализации Model.train_step метод, как и в предыдущем разделе, позволяет запускать Model.fit и избежать перезаписи все , что шаблонный код.
В этом руководстве только поезда на пару эпох, поэтому использовать callbacks.Callback собрать историю потери пакетов, для построения графиков:
class BatchLogs(tf.keras.callbacks.Callback):
def __init__(self, key):
self.key = key
self.logs = []
def on_train_batch_end(self, n, logs):
self.logs.append(logs[self.key])
batch_loss = BatchLogs('batch_loss')
train_translator.fit(dataset, epochs=3,
callbacks=[batch_loss])
Epoch 1/3
2021-12-04 12:10:11.617839: E tensorflow/core/grappler/optimizers/meta_optimizer.cc:812] function_optimizer failed: INVALID_ARGUMENT: Input 6 of node StatefulPartitionedCall/gradient_tape/while/while_grad/body/_589/gradient_tape/while/gradients/while/decoder_2/gru_5/PartitionedCall_grad/PartitionedCall was passed variant from StatefulPartitionedCall/gradient_tape/while/while_grad/body/_589/gradient_tape/while/gradients/while/decoder_2/gru_5/PartitionedCall_grad/TensorListPopBack_2:1 incompatible with expected float.
2021-12-04 12:10:11.737105: E tensorflow/core/grappler/optimizers/meta_optimizer.cc:812] layout failed: OUT_OF_RANGE: src_output = 25, but num_outputs is only 25
2021-12-04 12:10:11.855054: E tensorflow/core/grappler/optimizers/meta_optimizer.cc:812] tfg_optimizer{} failed: INVALID_ARGUMENT: Input 6 of node StatefulPartitionedCall/gradient_tape/while/while_grad/body/_589/gradient_tape/while/gradients/while/decoder_2/gru_5/PartitionedCall_grad/PartitionedCall was passed variant from StatefulPartitionedCall/gradient_tape/while/while_grad/body/_589/gradient_tape/while/gradients/while/decoder_2/gru_5/PartitionedCall_grad/TensorListPopBack_2:1 incompatible with expected float.
when importing GraphDef to MLIR module in GrapplerHook
2021-12-04 12:10:11.878896: E tensorflow/core/grappler/optimizers/meta_optimizer.cc:812] function_optimizer failed: INVALID_ARGUMENT: Input 6 of node StatefulPartitionedCall/gradient_tape/while/while_grad/body/_589/gradient_tape/while/gradients/while/decoder_2/gru_5/PartitionedCall_grad/PartitionedCall was passed variant from StatefulPartitionedCall/gradient_tape/while/while_grad/body/_589/gradient_tape/while/gradients/while/decoder_2/gru_5/PartitionedCall_grad/TensorListPopBack_2:1 incompatible with expected float.
2021-12-04 12:10:12.004755: W tensorflow/core/common_runtime/process_function_library_runtime.cc:866] Ignoring multi-device function optimization failure: INVALID_ARGUMENT: Input 1 of node StatefulPartitionedCall/while/body/_59/while/TensorListPushBack_56 was passed float from StatefulPartitionedCall/while/body/_59/while/decoder_2/gru_5/PartitionedCall:6 incompatible with expected variant.
1859/1859 [==============================] - 349s 185ms/step - batch_loss: 2.0443
Epoch 2/3
1859/1859 [==============================] - 350s 188ms/step - batch_loss: 1.0382
Epoch 3/3
1859/1859 [==============================] - 343s 184ms/step - batch_loss: 0.8085
<keras.callbacks.History at 0x7fb42c3eda10>
plt.plot(batch_loss.logs)
plt.ylim([0, 3])
plt.xlabel('Batch #')
plt.ylabel('CE/token')
Text(0, 0.5, 'CE/token')

Видимые скачки на графике находятся на границах эпох.
Перевести
Теперь, когда модель обучена, реализовать функцию , чтобы выполнить полный text => text перевода.
Для этой потребности модели , чтобы инвертировать text => token IDs отображения обеспечивается output_text_processor . Также необходимо знать идентификаторы специальных токенов. Все это реализовано в конструкторе нового класса. Реализация фактического метода перевода будет продолжена.
В целом это похоже на цикл обучения, за исключением того, что входом в декодер на каждом временном шаге является выборка из последнего предсказания декодера.
class Translator(tf.Module):
def __init__(self, encoder, decoder, input_text_processor,
output_text_processor):
self.encoder = encoder
self.decoder = decoder
self.input_text_processor = input_text_processor
self.output_text_processor = output_text_processor
self.output_token_string_from_index = (
tf.keras.layers.StringLookup(
vocabulary=output_text_processor.get_vocabulary(),
mask_token='',
invert=True))
# The output should never generate padding, unknown, or start.
index_from_string = tf.keras.layers.StringLookup(
vocabulary=output_text_processor.get_vocabulary(), mask_token='')
token_mask_ids = index_from_string(['', '[UNK]', '[START]']).numpy()
token_mask = np.zeros([index_from_string.vocabulary_size()], dtype=np.bool)
token_mask[np.array(token_mask_ids)] = True
self.token_mask = token_mask
self.start_token = index_from_string(tf.constant('[START]'))
self.end_token = index_from_string(tf.constant('[END]'))
translator = Translator(
encoder=train_translator.encoder,
decoder=train_translator.decoder,
input_text_processor=input_text_processor,
output_text_processor=output_text_processor,
)
/tmpfs/src/tf_docs_env/lib/python3.7/site-packages/ipykernel_launcher.py:21: DeprecationWarning: `np.bool` is a deprecated alias for the builtin `bool`. To silence this warning, use `bool` by itself. Doing this will not modify any behavior and is safe. If you specifically wanted the numpy scalar type, use `np.bool_` here. Deprecated in NumPy 1.20; for more details and guidance: https://numpy.org/devdocs/release/1.20.0-notes.html#deprecations
Преобразование идентификаторов токенов в текст
Первый способ осуществить это tokens_to_text , который преобразует из маркеров идентификаторов в читаемый текст человека.
def tokens_to_text(self, result_tokens):
shape_checker = ShapeChecker()
shape_checker(result_tokens, ('batch', 't'))
result_text_tokens = self.output_token_string_from_index(result_tokens)
shape_checker(result_text_tokens, ('batch', 't'))
result_text = tf.strings.reduce_join(result_text_tokens,
axis=1, separator=' ')
shape_checker(result_text, ('batch'))
result_text = tf.strings.strip(result_text)
shape_checker(result_text, ('batch',))
return result_text
Translator.tokens_to_text = tokens_to_text
Введите случайные идентификаторы токена и посмотрите, что он генерирует:
example_output_tokens = tf.random.uniform(
shape=[5, 2], minval=0, dtype=tf.int64,
maxval=output_text_processor.vocabulary_size())
translator.tokens_to_text(example_output_tokens).numpy()
array([b'vain mysteries', b'funny ham', b'drivers responding',
b'mysterious ignoring', b'fashion votes'], dtype=object)
Пример из предсказаний декодера
Эта функция берет выходные данные логита декодера и выбирает идентификаторы токенов из этого распределения:
def sample(self, logits, temperature):
shape_checker = ShapeChecker()
# 't' is usually 1 here.
shape_checker(logits, ('batch', 't', 'vocab'))
shape_checker(self.token_mask, ('vocab',))
token_mask = self.token_mask[tf.newaxis, tf.newaxis, :]
shape_checker(token_mask, ('batch', 't', 'vocab'), broadcast=True)
# Set the logits for all masked tokens to -inf, so they are never chosen.
logits = tf.where(self.token_mask, -np.inf, logits)
if temperature == 0.0:
new_tokens = tf.argmax(logits, axis=-1)
else:
logits = tf.squeeze(logits, axis=1)
new_tokens = tf.random.categorical(logits/temperature,
num_samples=1)
shape_checker(new_tokens, ('batch', 't'))
return new_tokens
Translator.sample = sample
Тестовый запуск этой функции на некоторых случайных входах:
example_logits = tf.random.normal([5, 1, output_text_processor.vocabulary_size()])
example_output_tokens = translator.sample(example_logits, temperature=1.0)
example_output_tokens
<tf.Tensor: shape=(5, 1), dtype=int64, numpy=
array([[4506],
[3577],
[2961],
[4586],
[ 944]])>
Реализуйте цикл перевода
Вот полная реализация цикла преобразования текста в текст.
Эта реализация собирает результаты в списки питона, прежде чем использовать tf.concat , чтобы присоединиться к ним в тензоры.
Эта реализация статически разворачивает графа к max_length итераций. Это нормально для активного исполнения на Python.
def translate_unrolled(self,
input_text, *,
max_length=50,
return_attention=True,
temperature=1.0):
batch_size = tf.shape(input_text)[0]
input_tokens = self.input_text_processor(input_text)
enc_output, enc_state = self.encoder(input_tokens)
dec_state = enc_state
new_tokens = tf.fill([batch_size, 1], self.start_token)
result_tokens = []
attention = []
done = tf.zeros([batch_size, 1], dtype=tf.bool)
for _ in range(max_length):
dec_input = DecoderInput(new_tokens=new_tokens,
enc_output=enc_output,
mask=(input_tokens!=0))
dec_result, dec_state = self.decoder(dec_input, state=dec_state)
attention.append(dec_result.attention_weights)
new_tokens = self.sample(dec_result.logits, temperature)
# If a sequence produces an `end_token`, set it `done`
done = done | (new_tokens == self.end_token)
# Once a sequence is done it only produces 0-padding.
new_tokens = tf.where(done, tf.constant(0, dtype=tf.int64), new_tokens)
# Collect the generated tokens
result_tokens.append(new_tokens)
if tf.executing_eagerly() and tf.reduce_all(done):
break
# Convert the list of generates token ids to a list of strings.
result_tokens = tf.concat(result_tokens, axis=-1)
result_text = self.tokens_to_text(result_tokens)
if return_attention:
attention_stack = tf.concat(attention, axis=1)
return {'text': result_text, 'attention': attention_stack}
else:
return {'text': result_text}
Translator.translate = translate_unrolled
Запустите его на простом вводе:
%%time
input_text = tf.constant([
'hace mucho frio aqui.', # "It's really cold here."
'Esta es mi vida.', # "This is my life.""
])
result = translator.translate(
input_text = input_text)
print(result['text'][0].numpy().decode())
print(result['text'][1].numpy().decode())
print()
its a long cold here . this is my life . CPU times: user 165 ms, sys: 4.37 ms, total: 169 ms Wall time: 164 ms
Если вы хотите экспортировать эту модель вам нужно обернуть этот метод в tf.function . У этой базовой реализации есть несколько проблем, если вы попытаетесь это сделать:
- Полученные графики очень большие, и их создание, сохранение или загрузка занимают несколько секунд.
- Вы не можете вырваться из статический развернутого цикла, поэтому он всегда будет работать
max_lengthитераций, даже если все выходы сделаны. Но даже в этом случае это немного быстрее, чем нетерпеливое исполнение.
@tf.function(input_signature=[tf.TensorSpec(dtype=tf.string, shape=[None])])
def tf_translate(self, input_text):
return self.translate(input_text)
Translator.tf_translate = tf_translate
Запустите tf.function один раз скомпилировать:
%%time
result = translator.tf_translate(
input_text = input_text)
CPU times: user 18.8 s, sys: 0 ns, total: 18.8 s Wall time: 18.7 s
%%time
result = translator.tf_translate(
input_text = input_text)
print(result['text'][0].numpy().decode())
print(result['text'][1].numpy().decode())
print()
its very cold here . this is my life . CPU times: user 175 ms, sys: 0 ns, total: 175 ms Wall time: 88 ms
[Необязательно] Используйте символический цикл
def translate_symbolic(self,
input_text,
*,
max_length=50,
return_attention=True,
temperature=1.0):
shape_checker = ShapeChecker()
shape_checker(input_text, ('batch',))
batch_size = tf.shape(input_text)[0]
# Encode the input
input_tokens = self.input_text_processor(input_text)
shape_checker(input_tokens, ('batch', 's'))
enc_output, enc_state = self.encoder(input_tokens)
shape_checker(enc_output, ('batch', 's', 'enc_units'))
shape_checker(enc_state, ('batch', 'enc_units'))
# Initialize the decoder
dec_state = enc_state
new_tokens = tf.fill([batch_size, 1], self.start_token)
shape_checker(new_tokens, ('batch', 't1'))
# Initialize the accumulators
result_tokens = tf.TensorArray(tf.int64, size=1, dynamic_size=True)
attention = tf.TensorArray(tf.float32, size=1, dynamic_size=True)
done = tf.zeros([batch_size, 1], dtype=tf.bool)
shape_checker(done, ('batch', 't1'))
for t in tf.range(max_length):
dec_input = DecoderInput(
new_tokens=new_tokens, enc_output=enc_output, mask=(input_tokens != 0))
dec_result, dec_state = self.decoder(dec_input, state=dec_state)
shape_checker(dec_result.attention_weights, ('batch', 't1', 's'))
attention = attention.write(t, dec_result.attention_weights)
new_tokens = self.sample(dec_result.logits, temperature)
shape_checker(dec_result.logits, ('batch', 't1', 'vocab'))
shape_checker(new_tokens, ('batch', 't1'))
# If a sequence produces an `end_token`, set it `done`
done = done | (new_tokens == self.end_token)
# Once a sequence is done it only produces 0-padding.
new_tokens = tf.where(done, tf.constant(0, dtype=tf.int64), new_tokens)
# Collect the generated tokens
result_tokens = result_tokens.write(t, new_tokens)
if tf.reduce_all(done):
break
# Convert the list of generated token ids to a list of strings.
result_tokens = result_tokens.stack()
shape_checker(result_tokens, ('t', 'batch', 't0'))
result_tokens = tf.squeeze(result_tokens, -1)
result_tokens = tf.transpose(result_tokens, [1, 0])
shape_checker(result_tokens, ('batch', 't'))
result_text = self.tokens_to_text(result_tokens)
shape_checker(result_text, ('batch',))
if return_attention:
attention_stack = attention.stack()
shape_checker(attention_stack, ('t', 'batch', 't1', 's'))
attention_stack = tf.squeeze(attention_stack, 2)
shape_checker(attention_stack, ('t', 'batch', 's'))
attention_stack = tf.transpose(attention_stack, [1, 0, 2])
shape_checker(attention_stack, ('batch', 't', 's'))
return {'text': result_text, 'attention': attention_stack}
else:
return {'text': result_text}
Translator.translate = translate_symbolic
Первоначальная реализация использовала списки Python для сбора выходных данных. При этом используется tf.range в качестве итератора петли, позволяя tf.autograph преобразовать петлю. Самое большое изменение в этой реализации является использование tf.TensorArray вместо питона list аккумулировать тензоры. tf.TensorArray требуется , чтобы собрать переменное число тензоров в графическом режиме.
При активном исполнении эта реализация работает наравне с оригиналом:
%%time
result = translator.translate(
input_text = input_text)
print(result['text'][0].numpy().decode())
print(result['text'][1].numpy().decode())
print()
its very cold here . this is my life . CPU times: user 175 ms, sys: 0 ns, total: 175 ms Wall time: 170 ms
Но когда вы заверните его в tf.function вы заметите два отличия.
@tf.function(input_signature=[tf.TensorSpec(dtype=tf.string, shape=[None])])
def tf_translate(self, input_text):
return self.translate(input_text)
Translator.tf_translate = tf_translate
Во- первых: создание графика гораздо быстрее (~ 10x), так как он не создает max_iterations экземпляров модели.
%%time
result = translator.tf_translate(
input_text = input_text)
CPU times: user 1.79 s, sys: 0 ns, total: 1.79 s Wall time: 1.77 s
Во-вторых: скомпилированная функция намного быстрее работает с небольшими входными данными (5x в этом примере), потому что она может выйти из цикла.
%%time
result = translator.tf_translate(
input_text = input_text)
print(result['text'][0].numpy().decode())
print(result['text'][1].numpy().decode())
print()
its very cold here . this is my life . CPU times: user 40.1 ms, sys: 0 ns, total: 40.1 ms Wall time: 17.1 ms
Визуализируйте процесс
Веса внимание возвращаемые translate способ показать , где модель была «смотрит» , когда она генерируется каждый выходной маркер.
Таким образом, сумма внимания к вводу должна вернуть все:
a = result['attention'][0]
print(np.sum(a, axis=-1))
[1.0000001 0.99999994 1. 0.99999994 1. 0.99999994]
Вот распределение внимания для первого шага вывода первого примера. Обратите внимание на то, что внимание теперь гораздо более сфокусировано, чем это было у неподготовленной модели:
_ = plt.bar(range(len(a[0, :])), a[0, :])

Поскольку между входными и выходными словами есть некоторая приблизительная граница, вы ожидаете, что внимание будет сосредоточено около диагонали:
plt.imshow(np.array(a), vmin=0.0)
<matplotlib.image.AxesImage at 0x7faf2886ced0>

Вот код для лучшего графика внимания:
Маркированные графики внимания
def plot_attention(attention, sentence, predicted_sentence):
sentence = tf_lower_and_split_punct(sentence).numpy().decode().split()
predicted_sentence = predicted_sentence.numpy().decode().split() + ['[END]']
fig = plt.figure(figsize=(10, 10))
ax = fig.add_subplot(1, 1, 1)
attention = attention[:len(predicted_sentence), :len(sentence)]
ax.matshow(attention, cmap='viridis', vmin=0.0)
fontdict = {'fontsize': 14}
ax.set_xticklabels([''] + sentence, fontdict=fontdict, rotation=90)
ax.set_yticklabels([''] + predicted_sentence, fontdict=fontdict)
ax.xaxis.set_major_locator(ticker.MultipleLocator(1))
ax.yaxis.set_major_locator(ticker.MultipleLocator(1))
ax.set_xlabel('Input text')
ax.set_ylabel('Output text')
plt.suptitle('Attention weights')
i=0
plot_attention(result['attention'][i], input_text[i], result['text'][i])
/tmpfs/src/tf_docs_env/lib/python3.7/site-packages/ipykernel_launcher.py:14: UserWarning: FixedFormatter should only be used together with FixedLocator /tmpfs/src/tf_docs_env/lib/python3.7/site-packages/ipykernel_launcher.py:15: UserWarning: FixedFormatter should only be used together with FixedLocator from ipykernel import kernelapp as app

Переведите еще несколько предложений и нарисуйте их:
%%time
three_input_text = tf.constant([
# This is my life.
'Esta es mi vida.',
# Are they still home?
'¿Todavía están en casa?',
# Try to find out.'
'Tratar de descubrir.',
])
result = translator.tf_translate(three_input_text)
for tr in result['text']:
print(tr.numpy().decode())
print()
this is my life . are you still at home ? all about killed . CPU times: user 78 ms, sys: 23 ms, total: 101 ms Wall time: 23.1 ms
result['text']
<tf.Tensor: shape=(3,), dtype=string, numpy=
array([b'this is my life .', b'are you still at home ?',
b'all about killed .'], dtype=object)>
i = 0
plot_attention(result['attention'][i], three_input_text[i], result['text'][i])
/tmpfs/src/tf_docs_env/lib/python3.7/site-packages/ipykernel_launcher.py:14: UserWarning: FixedFormatter should only be used together with FixedLocator /tmpfs/src/tf_docs_env/lib/python3.7/site-packages/ipykernel_launcher.py:15: UserWarning: FixedFormatter should only be used together with FixedLocator from ipykernel import kernelapp as app

i = 1
plot_attention(result['attention'][i], three_input_text[i], result['text'][i])
/tmpfs/src/tf_docs_env/lib/python3.7/site-packages/ipykernel_launcher.py:14: UserWarning: FixedFormatter should only be used together with FixedLocator /tmpfs/src/tf_docs_env/lib/python3.7/site-packages/ipykernel_launcher.py:15: UserWarning: FixedFormatter should only be used together with FixedLocator from ipykernel import kernelapp as app

i = 2
plot_attention(result['attention'][i], three_input_text[i], result['text'][i])
/tmpfs/src/tf_docs_env/lib/python3.7/site-packages/ipykernel_launcher.py:14: UserWarning: FixedFormatter should only be used together with FixedLocator /tmpfs/src/tf_docs_env/lib/python3.7/site-packages/ipykernel_launcher.py:15: UserWarning: FixedFormatter should only be used together with FixedLocator from ipykernel import kernelapp as app

Короткие предложения часто работают хорошо, но если ввод слишком длинный, модель буквально теряет фокус и перестает давать разумные прогнозы. Для этого есть две основные причины:
- Модель обучалась с принуждением учителя к подаче правильного токена на каждом этапе, независимо от прогнозов модели. Модель можно было бы сделать более устойчивой, если бы она иногда использовала собственные прогнозы.
- Модель имеет доступ только к своему предыдущему выходу через состояние RNN. Если состояние RNN будет повреждено, модель не сможет восстановить. Трансформаторы решить эту проблему с помощью собственного внимания в кодере и декодере.
long_input_text = tf.constant([inp[-1]])
import textwrap
print('Expected output:\n', '\n'.join(textwrap.wrap(targ[-1])))
Expected output: If you want to sound like a native speaker, you must be willing to practice saying the same sentence over and over in the same way that banjo players practice the same phrase over and over until they can play it correctly and at the desired tempo.
result = translator.tf_translate(long_input_text)
i = 0
plot_attention(result['attention'][i], long_input_text[i], result['text'][i])
_ = plt.suptitle('This never works')
/tmpfs/src/tf_docs_env/lib/python3.7/site-packages/ipykernel_launcher.py:14: UserWarning: FixedFormatter should only be used together with FixedLocator /tmpfs/src/tf_docs_env/lib/python3.7/site-packages/ipykernel_launcher.py:15: UserWarning: FixedFormatter should only be used together with FixedLocator from ipykernel import kernelapp as app

Экспорт
Если у вас есть модель , вы удовлетворены с вами могли бы экспортировать его в качестве tf.saved_model для использования вне этого питона программы , которая создала его.
Так как модель является подклассом tf.Module (через keras.Model ), и все функциональные возможности для экспорта компилируется в tf.function модель должна экспортировать чисто с tf.saved_model.save :
Теперь, когда функция была прослежена его можно экспортировать с помощью saved_model.save :
tf.saved_model.save(translator, 'translator',
signatures={'serving_default': translator.tf_translate})
2021-12-04 12:27:54.310890: W tensorflow/python/util/util.cc:368] Sets are not currently considered sequences, but this may change in the future, so consider avoiding using them. WARNING:absl:Found untraced functions such as encoder_2_layer_call_fn, encoder_2_layer_call_and_return_conditional_losses, decoder_2_layer_call_fn, decoder_2_layer_call_and_return_conditional_losses, embedding_4_layer_call_fn while saving (showing 5 of 60). These functions will not be directly callable after loading. INFO:tensorflow:Assets written to: translator/assets INFO:tensorflow:Assets written to: translator/assets
reloaded = tf.saved_model.load('translator')
result = reloaded.tf_translate(three_input_text)
%%time
result = reloaded.tf_translate(three_input_text)
for tr in result['text']:
print(tr.numpy().decode())
print()
this is my life . are you still at home ? find out about to find out . CPU times: user 42.8 ms, sys: 7.69 ms, total: 50.5 ms Wall time: 20 ms
Следующие шаги
- Загрузить другой набор данных для эксперимента с переводами, например, с английского на немецкий или английский язык на французский язык.
- Поэкспериментируйте с обучением на большем наборе данных или используя больше эпох.
- Попробуйте трансформатор учебник , который реализует аналогичную задачу перевода , но использует трансформаторные слои вместо RNNs. Эта версия также использует
text.BertTokenizerдля реализации wordpiece лексемизации. - Посмотрите на tensorflow_addons.seq2seq для осуществления такого рода последовательности модели последовательности.
tfa.seq2seqпакет включает в себя функциональность более высокого уровня , какseq2seq.BeamSearchDecoder.
Посмотреть на TensorFlow.org
Запускаем в Google Colab
Посмотреть исходный код на GitHub
Скачать блокнот