Lihat di TensorFlow.org | Jalankan di Google Colab | Lihat sumber di GitHub | Unduh buku catatan |
Notebook ini melatih urutan ke urutan (seq2seq) model untuk Spanyol untuk terjemahan bahasa Inggris berdasarkan Efektif Pendekatan berbasis Perhatian Syaraf Machine Translation . Ini adalah contoh lanjutan yang mengasumsikan beberapa pengetahuan tentang:
- Model urutan ke urutan
- Dasar-dasar TensorFlow di bawah lapisan keras:
- Bekerja dengan tensor secara langsung
- Menulis kustom
keras.Modeldankeras.layers
Sementara arsitektur ini agak usang itu masih merupakan proyek yang sangat berguna untuk kerja melalui untuk mendapatkan pemahaman yang lebih dalam mekanisme perhatian (sebelum pergi ke Transformers ).
Setelah pelatihan model dalam notebook ini, Anda akan dapat masukan kalimat Spanyol, seperti, dan kembali terjemahan bahasa Inggris "¿todavia estan en casa?": "? Kau masih di rumah"
Model yang dihasilkan diekspor sebagai tf.saved_model , sehingga dapat digunakan dalam lingkungan TensorFlow lainnya.
Kualitas terjemahannya masuk akal untuk contoh mainan, tetapi plot perhatian yang dihasilkan mungkin lebih menarik. Ini menunjukkan bagian mana dari kalimat masukan yang mendapat perhatian model saat menerjemahkan:

Mempersiapkan
pip install tensorflow_text
import numpy as np
import typing
from typing import Any, Tuple
import tensorflow as tf
import tensorflow_text as tf_text
import matplotlib.pyplot as plt
import matplotlib.ticker as ticker
Tutorial ini membangun beberapa lapisan dari awal, gunakan variabel ini jika Anda ingin beralih antara implementasi kustom dan bawaan.
use_builtins = True
Tutorial ini menggunakan banyak API tingkat rendah di mana mudah untuk mendapatkan bentuk yang salah. Kelas ini digunakan untuk memeriksa bentuk sepanjang tutorial.
Pemeriksa bentuk
class ShapeChecker():
def __init__(self):
# Keep a cache of every axis-name seen
self.shapes = {}
def __call__(self, tensor, names, broadcast=False):
if not tf.executing_eagerly():
return
if isinstance(names, str):
names = (names,)
shape = tf.shape(tensor)
rank = tf.rank(tensor)
if rank != len(names):
raise ValueError(f'Rank mismatch:\n'
f' found {rank}: {shape.numpy()}\n'
f' expected {len(names)}: {names}\n')
for i, name in enumerate(names):
if isinstance(name, int):
old_dim = name
else:
old_dim = self.shapes.get(name, None)
new_dim = shape[i]
if (broadcast and new_dim == 1):
continue
if old_dim is None:
# If the axis name is new, add its length to the cache.
self.shapes[name] = new_dim
continue
if new_dim != old_dim:
raise ValueError(f"Shape mismatch for dimension: '{name}'\n"
f" found: {new_dim}\n"
f" expected: {old_dim}\n")
Data
Kami akan menggunakan dataset bahasa yang disediakan oleh http://www.manythings.org/anki/ dataset ini berisi pasangan terjemahan bahasa dalam format:
May I borrow this book? ¿Puedo tomar prestado este libro?
Mereka memiliki berbagai bahasa yang tersedia, tetapi kami akan menggunakan set data Inggris-Spanyol.
Unduh dan siapkan kumpulan datanya
Untuk kenyamanan, kami telah menghosting salinan set data ini di Google Cloud, tetapi Anda juga dapat mengunduh salinan Anda sendiri. Setelah mendownload dataset, berikut adalah langkah-langkah yang akan kita lakukan untuk menyiapkan data:
- Tambahkan awal dan akhir token untuk setiap kalimat.
- Bersihkan kalimat dengan menghapus karakter khusus.
- Buat indeks kata dan indeks kata terbalik (pemetaan kamus dari kata → id dan id → kata).
- Pad setiap kalimat dengan panjang maksimum.
# Download the file
import pathlib
path_to_zip = tf.keras.utils.get_file(
'spa-eng.zip', origin='http://storage.googleapis.com/download.tensorflow.org/data/spa-eng.zip',
extract=True)
path_to_file = pathlib.Path(path_to_zip).parent/'spa-eng/spa.txt'
Downloading data from http://storage.googleapis.com/download.tensorflow.org/data/spa-eng.zip 2646016/2638744 [==============================] - 0s 0us/step 2654208/2638744 [==============================] - 0s 0us/step
def load_data(path):
text = path.read_text(encoding='utf-8')
lines = text.splitlines()
pairs = [line.split('\t') for line in lines]
inp = [inp for targ, inp in pairs]
targ = [targ for targ, inp in pairs]
return targ, inp
targ, inp = load_data(path_to_file)
print(inp[-1])
Si quieres sonar como un hablante nativo, debes estar dispuesto a practicar diciendo la misma frase una y otra vez de la misma manera en que un músico de banjo practica el mismo fraseo una y otra vez hasta que lo puedan tocar correctamente y en el tiempo esperado.
print(targ[-1])
If you want to sound like a native speaker, you must be willing to practice saying the same sentence over and over in the same way that banjo players practice the same phrase over and over until they can play it correctly and at the desired tempo.
Buat kumpulan data tf.data
Dari array ini string Anda dapat membuat tf.data.Dataset dari string yang mengocok dan batch secara efisien:
BUFFER_SIZE = len(inp)
BATCH_SIZE = 64
dataset = tf.data.Dataset.from_tensor_slices((inp, targ)).shuffle(BUFFER_SIZE)
dataset = dataset.batch(BATCH_SIZE)
for example_input_batch, example_target_batch in dataset.take(1):
print(example_input_batch[:5])
print()
print(example_target_batch[:5])
break
tf.Tensor( [b'No s\xc3\xa9 lo que quiero.' b'\xc2\xbfDeber\xc3\xada repetirlo?' b'Tard\xc3\xa9 m\xc3\xa1s de 2 horas en traducir unas p\xc3\xa1ginas en ingl\xc3\xa9s.' b'A Tom comenz\xc3\xb3 a temerle a Mary.' b'Mi pasatiempo es la lectura.'], shape=(5,), dtype=string) tf.Tensor( [b"I don't know what I want." b'Should I repeat it?' b'It took me more than two hours to translate a few pages of English.' b'Tom became afraid of Mary.' b'My hobby is reading.'], shape=(5,), dtype=string)
Pra-pemrosesan teks
Salah satu tujuan dari tutorial ini adalah untuk membangun sebuah model yang dapat diekspor sebagai tf.saved_model . Untuk membuat model diekspor berguna itu harus mengambil tf.string masukan, dan kembali tf.string output: Semua pengolahan teks terjadi di dalam model.
Standardisasi
Model ini berurusan dengan teks multibahasa dengan kosakata yang terbatas. Jadi, penting untuk menstandardisasi teks input.
Langkah pertama adalah normalisasi Unicode untuk membagi karakter beraksen dan mengganti karakter kompatibilitas dengan setara ASCII mereka.
The tensorflow_text paket berisi operasi unicode menormalkan:
example_text = tf.constant('¿Todavía está en casa?')
print(example_text.numpy())
print(tf_text.normalize_utf8(example_text, 'NFKD').numpy())
b'\xc2\xbfTodav\xc3\xada est\xc3\xa1 en casa?' b'\xc2\xbfTodavi\xcc\x81a esta\xcc\x81 en casa?'
Normalisasi unicode akan menjadi langkah pertama dalam fungsi standarisasi teks:
def tf_lower_and_split_punct(text):
# Split accecented characters.
text = tf_text.normalize_utf8(text, 'NFKD')
text = tf.strings.lower(text)
# Keep space, a to z, and select punctuation.
text = tf.strings.regex_replace(text, '[^ a-z.?!,¿]', '')
# Add spaces around punctuation.
text = tf.strings.regex_replace(text, '[.?!,¿]', r' \0 ')
# Strip whitespace.
text = tf.strings.strip(text)
text = tf.strings.join(['[START]', text, '[END]'], separator=' ')
return text
print(example_text.numpy().decode())
print(tf_lower_and_split_punct(example_text).numpy().decode())
¿Todavía está en casa? [START] ¿ todavia esta en casa ? [END]
Vektorisasi Teks
Fungsi standardisasi ini akan dibungkus dalam tf.keras.layers.TextVectorization lapisan yang akan menangani ekstraksi kosakata dan konversi teks input ke urutan token.
max_vocab_size = 5000
input_text_processor = tf.keras.layers.TextVectorization(
standardize=tf_lower_and_split_punct,
max_tokens=max_vocab_size)
The TextVectorization layer dan banyak lapisan preprocessing lainnya memiliki adapt metode. Metode ini membaca satu zaman data pelatihan, dan bekerja banyak seperti Model.fix . Ini adapt metode menginisialisasi lapisan berdasarkan data. Di sini menentukan kosakata:
input_text_processor.adapt(inp)
# Here are the first 10 words from the vocabulary:
input_text_processor.get_vocabulary()[:10]
['', '[UNK]', '[START]', '[END]', '.', 'que', 'de', 'el', 'a', 'no']
Itulah Spanyol TextVectorization lapisan, sekarang membangun dan .adapt() Inggris satu:
output_text_processor = tf.keras.layers.TextVectorization(
standardize=tf_lower_and_split_punct,
max_tokens=max_vocab_size)
output_text_processor.adapt(targ)
output_text_processor.get_vocabulary()[:10]
['', '[UNK]', '[START]', '[END]', '.', 'the', 'i', 'to', 'you', 'tom']
Sekarang lapisan ini dapat mengubah kumpulan string menjadi kumpulan ID token:
example_tokens = input_text_processor(example_input_batch)
example_tokens[:3, :10]
<tf.Tensor: shape=(3, 10), dtype=int64, numpy=
array([[ 2, 9, 17, 22, 5, 48, 4, 3, 0, 0],
[ 2, 13, 177, 1, 12, 3, 0, 0, 0, 0],
[ 2, 120, 35, 6, 290, 14, 2134, 506, 2637, 14]])>
The get_vocabulary metode dapat digunakan untuk mengkonversi ID tanda kembali ke teks:
input_vocab = np.array(input_text_processor.get_vocabulary())
tokens = input_vocab[example_tokens[0].numpy()]
' '.join(tokens)
'[START] no se lo que quiero . [END] '
ID token yang dikembalikan tidak diisi. Ini dapat dengan mudah diubah menjadi topeng:
plt.subplot(1, 2, 1)
plt.pcolormesh(example_tokens)
plt.title('Token IDs')
plt.subplot(1, 2, 2)
plt.pcolormesh(example_tokens != 0)
plt.title('Mask')
Text(0.5, 1.0, 'Mask')

Model pembuat enkode/dekoder
Diagram berikut menunjukkan gambaran umum model. Pada setiap langkah waktu, keluaran dekoder digabungkan dengan jumlah bobot di atas masukan yang disandikan, untuk memprediksi kata berikutnya. Diagram dan formula adalah dari kertas Luong .

Sebelum masuk ke dalamnya, tentukan beberapa konstanta untuk model:
embedding_dim = 256
units = 1024
pembuat enkode
Mulailah dengan membuat encoder, bagian biru dari diagram di atas.
pembuat enkode:
- Membawa daftar ID tanda (dari
input_text_processor). - Tampak sebuah vektor embedding untuk setiap tanda (Menggunakan
layers.Embedding). - Memproses embeddings menjadi urutan baru (Menggunakan
layers.GRU). - Pengembalian:
- Urutan yang diproses. Ini akan diteruskan ke kepala perhatian.
- Keadaan internal. Ini akan digunakan untuk menginisialisasi decoder
class Encoder(tf.keras.layers.Layer):
def __init__(self, input_vocab_size, embedding_dim, enc_units):
super(Encoder, self).__init__()
self.enc_units = enc_units
self.input_vocab_size = input_vocab_size
# The embedding layer converts tokens to vectors
self.embedding = tf.keras.layers.Embedding(self.input_vocab_size,
embedding_dim)
# The GRU RNN layer processes those vectors sequentially.
self.gru = tf.keras.layers.GRU(self.enc_units,
# Return the sequence and state
return_sequences=True,
return_state=True,
recurrent_initializer='glorot_uniform')
def call(self, tokens, state=None):
shape_checker = ShapeChecker()
shape_checker(tokens, ('batch', 's'))
# 2. The embedding layer looks up the embedding for each token.
vectors = self.embedding(tokens)
shape_checker(vectors, ('batch', 's', 'embed_dim'))
# 3. The GRU processes the embedding sequence.
# output shape: (batch, s, enc_units)
# state shape: (batch, enc_units)
output, state = self.gru(vectors, initial_state=state)
shape_checker(output, ('batch', 's', 'enc_units'))
shape_checker(state, ('batch', 'enc_units'))
# 4. Returns the new sequence and its state.
return output, state
Berikut adalah bagaimana itu cocok bersama sejauh ini:
# Convert the input text to tokens.
example_tokens = input_text_processor(example_input_batch)
# Encode the input sequence.
encoder = Encoder(input_text_processor.vocabulary_size(),
embedding_dim, units)
example_enc_output, example_enc_state = encoder(example_tokens)
print(f'Input batch, shape (batch): {example_input_batch.shape}')
print(f'Input batch tokens, shape (batch, s): {example_tokens.shape}')
print(f'Encoder output, shape (batch, s, units): {example_enc_output.shape}')
print(f'Encoder state, shape (batch, units): {example_enc_state.shape}')
Input batch, shape (batch): (64,) Input batch tokens, shape (batch, s): (64, 14) Encoder output, shape (batch, s, units): (64, 14, 1024) Encoder state, shape (batch, units): (64, 1024)
Encoder mengembalikan status internalnya sehingga statusnya dapat digunakan untuk menginisialisasi decoder.
RNN juga umum untuk mengembalikan statusnya sehingga dapat memproses urutan melalui beberapa panggilan. Anda akan melihat lebih banyak lagi tentang membangun dekoder.
Kepala perhatian
Decoder menggunakan perhatian untuk selektif fokus pada bagian dari urutan input. Perhatian mengambil urutan vektor sebagai input untuk setiap contoh dan mengembalikan vektor "perhatian" untuk setiap contoh. Lapisan perhatian ini mirip dengan layers.GlobalAveragePoling1D tetapi lapisan perhatian melakukan rata-rata tertimbang.
Mari kita lihat cara kerjanya:


Di mana:
- \(s\) adalah indeks encoder.
- \(t\) adalah indeks decoder.
- \(\alpha_{ts}\) adalah bobot perhatian.
- \(h_s\) adalah urutan output encoder yang dihadiri untuk (perhatian "kunci" dan "nilai" dalam terminologi transformator).
- \(h_t\) adalah negara decoder menghadiri urutan (perhatian "query" dalam terminologi transformator).
- \(c_t\) adalah vektor konteks yang dihasilkan.
- \(a_t\) adalah hasil akhir menggabungkan "konteks" dan "permintaan".
Persamaan:
- Menghitung perhatian bobot, \(\alpha_{ts}\), sebagai Softmax di urutan output encoder ini.
- Menghitung vektor konteks sebagai jumlah bobot keluaran pembuat enkode.
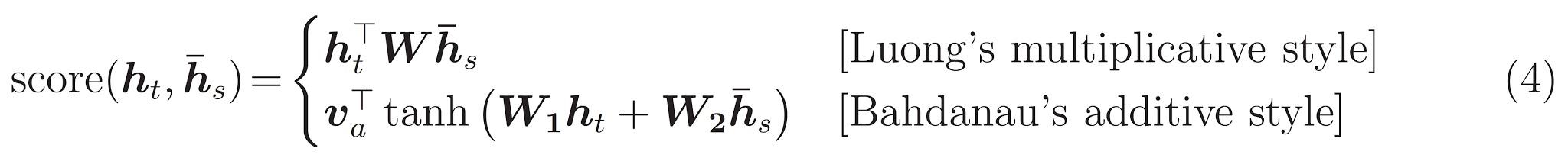
Terakhir adalah \(score\) fungsi. Tugasnya adalah menghitung skor logit skalar untuk setiap pasangan kueri kunci. Ada dua pendekatan umum:

Tutorial ini menggunakan perhatian aditif Bahdanau ini . TensorFlow meliputi implementasi baik sebagai layers.Attention dan layers.AdditiveAttention . Kelas bawah menangani matriks berat badan dalam sepasang layers.Dense lapisan, dan panggilan pelaksanaan builtin.
class BahdanauAttention(tf.keras.layers.Layer):
def __init__(self, units):
super().__init__()
# For Eqn. (4), the Bahdanau attention
self.W1 = tf.keras.layers.Dense(units, use_bias=False)
self.W2 = tf.keras.layers.Dense(units, use_bias=False)
self.attention = tf.keras.layers.AdditiveAttention()
def call(self, query, value, mask):
shape_checker = ShapeChecker()
shape_checker(query, ('batch', 't', 'query_units'))
shape_checker(value, ('batch', 's', 'value_units'))
shape_checker(mask, ('batch', 's'))
# From Eqn. (4), `W1@ht`.
w1_query = self.W1(query)
shape_checker(w1_query, ('batch', 't', 'attn_units'))
# From Eqn. (4), `W2@hs`.
w2_key = self.W2(value)
shape_checker(w2_key, ('batch', 's', 'attn_units'))
query_mask = tf.ones(tf.shape(query)[:-1], dtype=bool)
value_mask = mask
context_vector, attention_weights = self.attention(
inputs = [w1_query, value, w2_key],
mask=[query_mask, value_mask],
return_attention_scores = True,
)
shape_checker(context_vector, ('batch', 't', 'value_units'))
shape_checker(attention_weights, ('batch', 't', 's'))
return context_vector, attention_weights
Uji lapisan Perhatian
Buat BahdanauAttention lapisan:
attention_layer = BahdanauAttention(units)
Lapisan ini membutuhkan 3 input:
- The
query: Ini akan dihasilkan oleh decoder, kemudian. - The
value: Ini Akan output dari encoder. - The
mask: Untuk mengecualikan padding,example_tokens != 0
(example_tokens != 0).shape
TensorShape([64, 14])
Implementasi vektor dari lapisan perhatian memungkinkan Anda melewati sekumpulan urutan vektor kueri dan kumpulan urutan vektor nilai. Hasilnya adalah:
- Kumpulan urutan vektor hasil ukuran kueri.
- Sebuah perhatian Batch peta, dengan ukuran
(query_length, value_length).
# Later, the decoder will generate this attention query
example_attention_query = tf.random.normal(shape=[len(example_tokens), 2, 10])
# Attend to the encoded tokens
context_vector, attention_weights = attention_layer(
query=example_attention_query,
value=example_enc_output,
mask=(example_tokens != 0))
print(f'Attention result shape: (batch_size, query_seq_length, units): {context_vector.shape}')
print(f'Attention weights shape: (batch_size, query_seq_length, value_seq_length): {attention_weights.shape}')
Attention result shape: (batch_size, query_seq_length, units): (64, 2, 1024) Attention weights shape: (batch_size, query_seq_length, value_seq_length): (64, 2, 14)
Bobot perhatian harus berjumlah 1.0 untuk setiap urutan.
Berikut adalah bobot perhatian seluruh urutan di t=0 :
plt.subplot(1, 2, 1)
plt.pcolormesh(attention_weights[:, 0, :])
plt.title('Attention weights')
plt.subplot(1, 2, 2)
plt.pcolormesh(example_tokens != 0)
plt.title('Mask')
Text(0.5, 1.0, 'Mask')

Karena inisialisasi kecil-acak bobot perhatian semua dekat dengan 1/(sequence_length) . Jika Anda memperbesar bobot untuk urutan tunggal, Anda dapat melihat bahwa ada beberapa variasi kecil bahwa model dapat belajar untuk memperluas, dan mengeksploitasi.
attention_weights.shape
TensorShape([64, 2, 14])
attention_slice = attention_weights[0, 0].numpy()
attention_slice = attention_slice[attention_slice != 0]
plt.suptitle('Attention weights for one sequence')
plt.figure(figsize=(12, 6))
a1 = plt.subplot(1, 2, 1)
plt.bar(range(len(attention_slice)), attention_slice)
# freeze the xlim
plt.xlim(plt.xlim())
plt.xlabel('Attention weights')
a2 = plt.subplot(1, 2, 2)
plt.bar(range(len(attention_slice)), attention_slice)
plt.xlabel('Attention weights, zoomed')
# zoom in
top = max(a1.get_ylim())
zoom = 0.85*top
a2.set_ylim([0.90*top, top])
a1.plot(a1.get_xlim(), [zoom, zoom], color='k')
[<matplotlib.lines.Line2D at 0x7fb42c5b1090>] <Figure size 432x288 with 0 Axes>

Dekoder
Tugas dekoder adalah menghasilkan prediksi untuk token keluaran berikutnya.
- Decoder menerima output encoder lengkap.
- Ia menggunakan RNN untuk melacak apa yang telah dihasilkan sejauh ini.
- Ini menggunakan output RNN sebagai permintaan untuk memperhatikan output encoder, menghasilkan vektor konteks.
- Ini menggabungkan output RNN dan vektor konteks menggunakan Persamaan 3 (di bawah) untuk menghasilkan "vektor perhatian".
- Ini menghasilkan prediksi logit untuk token berikutnya berdasarkan "vektor perhatian".

Berikut adalah Decoder kelas dan initializer nya. Penginisialisasi membuat semua lapisan yang diperlukan.
class Decoder(tf.keras.layers.Layer):
def __init__(self, output_vocab_size, embedding_dim, dec_units):
super(Decoder, self).__init__()
self.dec_units = dec_units
self.output_vocab_size = output_vocab_size
self.embedding_dim = embedding_dim
# For Step 1. The embedding layer convets token IDs to vectors
self.embedding = tf.keras.layers.Embedding(self.output_vocab_size,
embedding_dim)
# For Step 2. The RNN keeps track of what's been generated so far.
self.gru = tf.keras.layers.GRU(self.dec_units,
return_sequences=True,
return_state=True,
recurrent_initializer='glorot_uniform')
# For step 3. The RNN output will be the query for the attention layer.
self.attention = BahdanauAttention(self.dec_units)
# For step 4. Eqn. (3): converting `ct` to `at`
self.Wc = tf.keras.layers.Dense(dec_units, activation=tf.math.tanh,
use_bias=False)
# For step 5. This fully connected layer produces the logits for each
# output token.
self.fc = tf.keras.layers.Dense(self.output_vocab_size)
The call metode untuk lapisan ini mengambil dan mengembalikan beberapa tensor. Atur itu ke dalam kelas wadah sederhana:
class DecoderInput(typing.NamedTuple):
new_tokens: Any
enc_output: Any
mask: Any
class DecoderOutput(typing.NamedTuple):
logits: Any
attention_weights: Any
Berikut ini adalah implementasi dari call metode:
def call(self,
inputs: DecoderInput,
state=None) -> Tuple[DecoderOutput, tf.Tensor]:
shape_checker = ShapeChecker()
shape_checker(inputs.new_tokens, ('batch', 't'))
shape_checker(inputs.enc_output, ('batch', 's', 'enc_units'))
shape_checker(inputs.mask, ('batch', 's'))
if state is not None:
shape_checker(state, ('batch', 'dec_units'))
# Step 1. Lookup the embeddings
vectors = self.embedding(inputs.new_tokens)
shape_checker(vectors, ('batch', 't', 'embedding_dim'))
# Step 2. Process one step with the RNN
rnn_output, state = self.gru(vectors, initial_state=state)
shape_checker(rnn_output, ('batch', 't', 'dec_units'))
shape_checker(state, ('batch', 'dec_units'))
# Step 3. Use the RNN output as the query for the attention over the
# encoder output.
context_vector, attention_weights = self.attention(
query=rnn_output, value=inputs.enc_output, mask=inputs.mask)
shape_checker(context_vector, ('batch', 't', 'dec_units'))
shape_checker(attention_weights, ('batch', 't', 's'))
# Step 4. Eqn. (3): Join the context_vector and rnn_output
# [ct; ht] shape: (batch t, value_units + query_units)
context_and_rnn_output = tf.concat([context_vector, rnn_output], axis=-1)
# Step 4. Eqn. (3): `at = tanh(Wc@[ct; ht])`
attention_vector = self.Wc(context_and_rnn_output)
shape_checker(attention_vector, ('batch', 't', 'dec_units'))
# Step 5. Generate logit predictions:
logits = self.fc(attention_vector)
shape_checker(logits, ('batch', 't', 'output_vocab_size'))
return DecoderOutput(logits, attention_weights), state
Decoder.call = call
Encoder memproses urutan input penuh dengan satu panggilan ke nya RNN. Implementasi ini dari decoder dapat melakukannya juga untuk pelatihan efisien. Tapi tutorial ini akan menjalankan decoder dalam satu lingkaran karena beberapa alasan:
- Fleksibilitas: Menulis loop memberi Anda kontrol langsung atas prosedur pelatihan.
- Kejelasan: Ini mungkin untuk melakukan masking trik dan menggunakan
layers.RNN, atautfa.seq2seqAPI untuk berkemas ini semua ke dalam satu panggilan. Tetapi menuliskannya sebagai loop mungkin lebih jelas.- Lingkaran pelatihan gratis ditunjukkan dalam generasi Teks tutiorial.
Sekarang coba gunakan decoder ini.
decoder = Decoder(output_text_processor.vocabulary_size(),
embedding_dim, units)
Decoder membutuhkan 4 input.
-
new_tokens- Token terakhir yang dihasilkan. Inisialisasi decoder dengan"[START]"tanda. -
enc_output- Generated olehEncoder. -
mask- Sebuah tensor boolean yang menunjukkan di manatokens != 0 -
state- The sebelumnyastateOutput dari decoder (keadaan internal decoder RNN). LulusNonenol-inisialisasi itu. Makalah asli menginisialisasinya dari status RNN akhir pembuat enkode.
# Convert the target sequence, and collect the "[START]" tokens
example_output_tokens = output_text_processor(example_target_batch)
start_index = output_text_processor.get_vocabulary().index('[START]')
first_token = tf.constant([[start_index]] * example_output_tokens.shape[0])
# Run the decoder
dec_result, dec_state = decoder(
inputs = DecoderInput(new_tokens=first_token,
enc_output=example_enc_output,
mask=(example_tokens != 0)),
state = example_enc_state
)
print(f'logits shape: (batch_size, t, output_vocab_size) {dec_result.logits.shape}')
print(f'state shape: (batch_size, dec_units) {dec_state.shape}')
logits shape: (batch_size, t, output_vocab_size) (64, 1, 5000) state shape: (batch_size, dec_units) (64, 1024)
Contoh token sesuai dengan log:
sampled_token = tf.random.categorical(dec_result.logits[:, 0, :], num_samples=1)
Dekode token sebagai kata pertama dari output:
vocab = np.array(output_text_processor.get_vocabulary())
first_word = vocab[sampled_token.numpy()]
first_word[:5]
array([['already'],
['plants'],
['pretended'],
['convince'],
['square']], dtype='<U16')
Sekarang gunakan dekoder untuk menghasilkan set log kedua.
- Lulus sama
enc_outputdanmask, ini tidak berubah. - Lulus dijadikan sampel token sebagai
new_tokens. - Lulus
decoder_statedecoder kembali terakhir kali, sehingga RNN berlanjut dengan memori di mana ia tinggalkan terakhir kali.
dec_result, dec_state = decoder(
DecoderInput(sampled_token,
example_enc_output,
mask=(example_tokens != 0)),
state=dec_state)
sampled_token = tf.random.categorical(dec_result.logits[:, 0, :], num_samples=1)
first_word = vocab[sampled_token.numpy()]
first_word[:5]
array([['nap'],
['mean'],
['worker'],
['passage'],
['baked']], dtype='<U16')
Pelatihan
Sekarang setelah Anda memiliki semua komponen model, saatnya untuk mulai melatih model. Kamu akan membutuhkan:
- Sebuah fungsi kerugian dan pengoptimal untuk melakukan optimasi.
- Fungsi langkah pelatihan yang menentukan cara memperbarui model untuk setiap batch input/target.
- Loop pelatihan untuk mendorong pelatihan dan menyimpan pos pemeriksaan.
Tentukan fungsi kerugian
class MaskedLoss(tf.keras.losses.Loss):
def __init__(self):
self.name = 'masked_loss'
self.loss = tf.keras.losses.SparseCategoricalCrossentropy(
from_logits=True, reduction='none')
def __call__(self, y_true, y_pred):
shape_checker = ShapeChecker()
shape_checker(y_true, ('batch', 't'))
shape_checker(y_pred, ('batch', 't', 'logits'))
# Calculate the loss for each item in the batch.
loss = self.loss(y_true, y_pred)
shape_checker(loss, ('batch', 't'))
# Mask off the losses on padding.
mask = tf.cast(y_true != 0, tf.float32)
shape_checker(mask, ('batch', 't'))
loss *= mask
# Return the total.
return tf.reduce_sum(loss)
Terapkan langkah pelatihan
Mulailah dengan kelas model, proses pelatihan akan dilaksanakan sebagai train_step metode pada model ini. Lihat Menyesuaikan cocok untuk rincian.
Di sini train_step metode adalah pembungkus sekitar _train_step pelaksanaan yang akan datang kemudian. Wrapper ini termasuk saklar untuk menghidupkan dan mematikan tf.function kompilasi, untuk membuat lebih mudah debugging.
class TrainTranslator(tf.keras.Model):
def __init__(self, embedding_dim, units,
input_text_processor,
output_text_processor,
use_tf_function=True):
super().__init__()
# Build the encoder and decoder
encoder = Encoder(input_text_processor.vocabulary_size(),
embedding_dim, units)
decoder = Decoder(output_text_processor.vocabulary_size(),
embedding_dim, units)
self.encoder = encoder
self.decoder = decoder
self.input_text_processor = input_text_processor
self.output_text_processor = output_text_processor
self.use_tf_function = use_tf_function
self.shape_checker = ShapeChecker()
def train_step(self, inputs):
self.shape_checker = ShapeChecker()
if self.use_tf_function:
return self._tf_train_step(inputs)
else:
return self._train_step(inputs)
Secara keseluruhan pelaksanaan untuk Model.train_step metode adalah sebagai berikut:
- Menerima batch
input_text, target_textdaritf.data.Dataset. - Ubah input teks mentah tersebut menjadi penyematan token dan topeng.
- Jalankan encoder pada
input_tokensuntuk mendapatkanencoder_outputdanencoder_state. - Inisialisasi status dan kerugian decoder.
- Loop atas
target_tokens:- Jalankan dekoder selangkah demi selangkah.
- Hitung kerugian untuk setiap langkah.
- Akumulasi kerugian rata-rata.
- Hitung gradien dari kerugian dan menggunakan optimizer untuk menerapkan update untuk model
trainable_variables.
The _preprocess metode, ditambahkan di bawah, alat langkah # 1 dan # 2:
def _preprocess(self, input_text, target_text):
self.shape_checker(input_text, ('batch',))
self.shape_checker(target_text, ('batch',))
# Convert the text to token IDs
input_tokens = self.input_text_processor(input_text)
target_tokens = self.output_text_processor(target_text)
self.shape_checker(input_tokens, ('batch', 's'))
self.shape_checker(target_tokens, ('batch', 't'))
# Convert IDs to masks.
input_mask = input_tokens != 0
self.shape_checker(input_mask, ('batch', 's'))
target_mask = target_tokens != 0
self.shape_checker(target_mask, ('batch', 't'))
return input_tokens, input_mask, target_tokens, target_mask
TrainTranslator._preprocess = _preprocess
The _train_step metode, ditambahkan di bawah, menangani langkah-langkah yang tersisa kecuali untuk benar-benar menjalankan decoder:
def _train_step(self, inputs):
input_text, target_text = inputs
(input_tokens, input_mask,
target_tokens, target_mask) = self._preprocess(input_text, target_text)
max_target_length = tf.shape(target_tokens)[1]
with tf.GradientTape() as tape:
# Encode the input
enc_output, enc_state = self.encoder(input_tokens)
self.shape_checker(enc_output, ('batch', 's', 'enc_units'))
self.shape_checker(enc_state, ('batch', 'enc_units'))
# Initialize the decoder's state to the encoder's final state.
# This only works if the encoder and decoder have the same number of
# units.
dec_state = enc_state
loss = tf.constant(0.0)
for t in tf.range(max_target_length-1):
# Pass in two tokens from the target sequence:
# 1. The current input to the decoder.
# 2. The target for the decoder's next prediction.
new_tokens = target_tokens[:, t:t+2]
step_loss, dec_state = self._loop_step(new_tokens, input_mask,
enc_output, dec_state)
loss = loss + step_loss
# Average the loss over all non padding tokens.
average_loss = loss / tf.reduce_sum(tf.cast(target_mask, tf.float32))
# Apply an optimization step
variables = self.trainable_variables
gradients = tape.gradient(average_loss, variables)
self.optimizer.apply_gradients(zip(gradients, variables))
# Return a dict mapping metric names to current value
return {'batch_loss': average_loss}
TrainTranslator._train_step = _train_step
The _loop_step metode, ditambahkan di bawah, mengeksekusi decoder dan menghitung kerugian tambahan dan negara decoder baru ( dec_state ).
def _loop_step(self, new_tokens, input_mask, enc_output, dec_state):
input_token, target_token = new_tokens[:, 0:1], new_tokens[:, 1:2]
# Run the decoder one step.
decoder_input = DecoderInput(new_tokens=input_token,
enc_output=enc_output,
mask=input_mask)
dec_result, dec_state = self.decoder(decoder_input, state=dec_state)
self.shape_checker(dec_result.logits, ('batch', 't1', 'logits'))
self.shape_checker(dec_result.attention_weights, ('batch', 't1', 's'))
self.shape_checker(dec_state, ('batch', 'dec_units'))
# `self.loss` returns the total for non-padded tokens
y = target_token
y_pred = dec_result.logits
step_loss = self.loss(y, y_pred)
return step_loss, dec_state
TrainTranslator._loop_step = _loop_step
Uji langkah pelatihan
Membangun TrainTranslator , dan mengkonfigurasi untuk melatih menggunakan Model.compile metode:
translator = TrainTranslator(
embedding_dim, units,
input_text_processor=input_text_processor,
output_text_processor=output_text_processor,
use_tf_function=False)
# Configure the loss and optimizer
translator.compile(
optimizer=tf.optimizers.Adam(),
loss=MaskedLoss(),
)
Menguji train_step . Untuk model teks seperti ini, kerugian harus dimulai di dekat:
np.log(output_text_processor.vocabulary_size())
8.517193191416236
%%time
for n in range(10):
print(translator.train_step([example_input_batch, example_target_batch]))
print()
{'batch_loss': <tf.Tensor: shape=(), dtype=float32, numpy=7.5849695>}
{'batch_loss': <tf.Tensor: shape=(), dtype=float32, numpy=7.55271>}
{'batch_loss': <tf.Tensor: shape=(), dtype=float32, numpy=7.4929113>}
{'batch_loss': <tf.Tensor: shape=(), dtype=float32, numpy=7.3296022>}
{'batch_loss': <tf.Tensor: shape=(), dtype=float32, numpy=6.80437>}
{'batch_loss': <tf.Tensor: shape=(), dtype=float32, numpy=5.000246>}
{'batch_loss': <tf.Tensor: shape=(), dtype=float32, numpy=5.8740363>}
{'batch_loss': <tf.Tensor: shape=(), dtype=float32, numpy=4.794589>}
{'batch_loss': <tf.Tensor: shape=(), dtype=float32, numpy=4.3175836>}
{'batch_loss': <tf.Tensor: shape=(), dtype=float32, numpy=4.108163>}
CPU times: user 5.49 s, sys: 0 ns, total: 5.49 s
Wall time: 5.45 s
Sementara itu mudah untuk debug tanpa tf.function itu tidak memberikan dorongan kinerja. Jadi sekarang bahwa _train_step metode bekerja, coba tf.function -wrapped _tf_train_step , untuk memaksimalkan kinerja sambil pelatihan:
@tf.function(input_signature=[[tf.TensorSpec(dtype=tf.string, shape=[None]),
tf.TensorSpec(dtype=tf.string, shape=[None])]])
def _tf_train_step(self, inputs):
return self._train_step(inputs)
TrainTranslator._tf_train_step = _tf_train_step
translator.use_tf_function = True
Panggilan pertama akan lambat, karena melacak fungsi.
translator.train_step([example_input_batch, example_target_batch])
2021-12-04 12:09:48.074769: E tensorflow/core/grappler/optimizers/meta_optimizer.cc:812] function_optimizer failed: INVALID_ARGUMENT: Input 6 of node gradient_tape/while/while_grad/body/_531/gradient_tape/while/gradients/while/decoder_1/gru_3/PartitionedCall_grad/PartitionedCall was passed variant from gradient_tape/while/while_grad/body/_531/gradient_tape/while/gradients/while/decoder_1/gru_3/PartitionedCall_grad/TensorListPopBack_2:1 incompatible with expected float.
2021-12-04 12:09:48.180156: E tensorflow/core/grappler/optimizers/meta_optimizer.cc:812] layout failed: OUT_OF_RANGE: src_output = 25, but num_outputs is only 25
2021-12-04 12:09:48.285846: E tensorflow/core/grappler/optimizers/meta_optimizer.cc:812] tfg_optimizer{} failed: INVALID_ARGUMENT: Input 6 of node gradient_tape/while/while_grad/body/_531/gradient_tape/while/gradients/while/decoder_1/gru_3/PartitionedCall_grad/PartitionedCall was passed variant from gradient_tape/while/while_grad/body/_531/gradient_tape/while/gradients/while/decoder_1/gru_3/PartitionedCall_grad/TensorListPopBack_2:1 incompatible with expected float.
when importing GraphDef to MLIR module in GrapplerHook
2021-12-04 12:09:48.307794: E tensorflow/core/grappler/optimizers/meta_optimizer.cc:812] function_optimizer failed: INVALID_ARGUMENT: Input 6 of node gradient_tape/while/while_grad/body/_531/gradient_tape/while/gradients/while/decoder_1/gru_3/PartitionedCall_grad/PartitionedCall was passed variant from gradient_tape/while/while_grad/body/_531/gradient_tape/while/gradients/while/decoder_1/gru_3/PartitionedCall_grad/TensorListPopBack_2:1 incompatible with expected float.
2021-12-04 12:09:48.425447: W tensorflow/core/common_runtime/process_function_library_runtime.cc:866] Ignoring multi-device function optimization failure: INVALID_ARGUMENT: Input 1 of node while/body/_1/while/TensorListPushBack_56 was passed float from while/body/_1/while/decoder_1/gru_3/PartitionedCall:6 incompatible with expected variant.
{'batch_loss': <tf.Tensor: shape=(), dtype=float32, numpy=4.045638>}
Tapi setelah itu biasanya 2-3x lebih cepat dari bersemangat train_step metode:
%%time
for n in range(10):
print(translator.train_step([example_input_batch, example_target_batch]))
print()
{'batch_loss': <tf.Tensor: shape=(), dtype=float32, numpy=4.1098256>}
{'batch_loss': <tf.Tensor: shape=(), dtype=float32, numpy=4.169871>}
{'batch_loss': <tf.Tensor: shape=(), dtype=float32, numpy=4.139249>}
{'batch_loss': <tf.Tensor: shape=(), dtype=float32, numpy=4.0410743>}
{'batch_loss': <tf.Tensor: shape=(), dtype=float32, numpy=3.9664454>}
{'batch_loss': <tf.Tensor: shape=(), dtype=float32, numpy=3.895707>}
{'batch_loss': <tf.Tensor: shape=(), dtype=float32, numpy=3.8154407>}
{'batch_loss': <tf.Tensor: shape=(), dtype=float32, numpy=3.7583396>}
{'batch_loss': <tf.Tensor: shape=(), dtype=float32, numpy=3.6986444>}
{'batch_loss': <tf.Tensor: shape=(), dtype=float32, numpy=3.640298>}
CPU times: user 4.4 s, sys: 960 ms, total: 5.36 s
Wall time: 1.67 s
Tes yang baik dari model baru adalah untuk melihat bahwa model tersebut dapat memenuhi satu batch input. Cobalah, kerugiannya harus cepat menjadi nol:
losses = []
for n in range(100):
print('.', end='')
logs = translator.train_step([example_input_batch, example_target_batch])
losses.append(logs['batch_loss'].numpy())
print()
plt.plot(losses)
.................................................................................................... [<matplotlib.lines.Line2D at 0x7fb427edf210>]

Sekarang setelah Anda yakin bahwa langkah pelatihan berhasil, buat salinan model baru untuk dilatih dari awal:
train_translator = TrainTranslator(
embedding_dim, units,
input_text_processor=input_text_processor,
output_text_processor=output_text_processor)
# Configure the loss and optimizer
train_translator.compile(
optimizer=tf.optimizers.Adam(),
loss=MaskedLoss(),
)
Latih modelnya
Sementara tidak ada yang salah dengan menulis lingkaran pelatihan kustom Anda sendiri, menerapkan Model.train_step metode, seperti pada bagian sebelumnya, memungkinkan Anda untuk menjalankan Model.fit dan menghindari menulis ulang semua kode boiler-plate.
Tutorial ini hanya kereta selama beberapa zaman, jadi gunakan callbacks.Callback untuk mengumpulkan sejarah kerugian batch, untuk merencanakan:
class BatchLogs(tf.keras.callbacks.Callback):
def __init__(self, key):
self.key = key
self.logs = []
def on_train_batch_end(self, n, logs):
self.logs.append(logs[self.key])
batch_loss = BatchLogs('batch_loss')
train_translator.fit(dataset, epochs=3,
callbacks=[batch_loss])
Epoch 1/3
2021-12-04 12:10:11.617839: E tensorflow/core/grappler/optimizers/meta_optimizer.cc:812] function_optimizer failed: INVALID_ARGUMENT: Input 6 of node StatefulPartitionedCall/gradient_tape/while/while_grad/body/_589/gradient_tape/while/gradients/while/decoder_2/gru_5/PartitionedCall_grad/PartitionedCall was passed variant from StatefulPartitionedCall/gradient_tape/while/while_grad/body/_589/gradient_tape/while/gradients/while/decoder_2/gru_5/PartitionedCall_grad/TensorListPopBack_2:1 incompatible with expected float.
2021-12-04 12:10:11.737105: E tensorflow/core/grappler/optimizers/meta_optimizer.cc:812] layout failed: OUT_OF_RANGE: src_output = 25, but num_outputs is only 25
2021-12-04 12:10:11.855054: E tensorflow/core/grappler/optimizers/meta_optimizer.cc:812] tfg_optimizer{} failed: INVALID_ARGUMENT: Input 6 of node StatefulPartitionedCall/gradient_tape/while/while_grad/body/_589/gradient_tape/while/gradients/while/decoder_2/gru_5/PartitionedCall_grad/PartitionedCall was passed variant from StatefulPartitionedCall/gradient_tape/while/while_grad/body/_589/gradient_tape/while/gradients/while/decoder_2/gru_5/PartitionedCall_grad/TensorListPopBack_2:1 incompatible with expected float.
when importing GraphDef to MLIR module in GrapplerHook
2021-12-04 12:10:11.878896: E tensorflow/core/grappler/optimizers/meta_optimizer.cc:812] function_optimizer failed: INVALID_ARGUMENT: Input 6 of node StatefulPartitionedCall/gradient_tape/while/while_grad/body/_589/gradient_tape/while/gradients/while/decoder_2/gru_5/PartitionedCall_grad/PartitionedCall was passed variant from StatefulPartitionedCall/gradient_tape/while/while_grad/body/_589/gradient_tape/while/gradients/while/decoder_2/gru_5/PartitionedCall_grad/TensorListPopBack_2:1 incompatible with expected float.
2021-12-04 12:10:12.004755: W tensorflow/core/common_runtime/process_function_library_runtime.cc:866] Ignoring multi-device function optimization failure: INVALID_ARGUMENT: Input 1 of node StatefulPartitionedCall/while/body/_59/while/TensorListPushBack_56 was passed float from StatefulPartitionedCall/while/body/_59/while/decoder_2/gru_5/PartitionedCall:6 incompatible with expected variant.
1859/1859 [==============================] - 349s 185ms/step - batch_loss: 2.0443
Epoch 2/3
1859/1859 [==============================] - 350s 188ms/step - batch_loss: 1.0382
Epoch 3/3
1859/1859 [==============================] - 343s 184ms/step - batch_loss: 0.8085
<keras.callbacks.History at 0x7fb42c3eda10>
plt.plot(batch_loss.logs)
plt.ylim([0, 3])
plt.xlabel('Batch #')
plt.ylabel('CE/token')
Text(0, 0.5, 'CE/token')

Lompatan yang terlihat di plot berada di batas zaman.
Menerjemahkan
Sekarang bahwa model terlatih, melaksanakan fungsi untuk menjalankan penuh text => text terjemahan.
Untuk ini kebutuhan Model untuk membalikkan text => token IDs pemetaan yang disediakan oleh output_text_processor . Itu juga perlu mengetahui ID untuk token khusus. Ini semua diimplementasikan dalam konstruktor untuk kelas baru. Implementasi metode terjemahan yang sebenarnya akan mengikuti.
Secara keseluruhan ini mirip dengan loop pelatihan, kecuali bahwa input ke dekoder pada setiap langkah waktu adalah sampel dari prediksi terakhir dekoder.
class Translator(tf.Module):
def __init__(self, encoder, decoder, input_text_processor,
output_text_processor):
self.encoder = encoder
self.decoder = decoder
self.input_text_processor = input_text_processor
self.output_text_processor = output_text_processor
self.output_token_string_from_index = (
tf.keras.layers.StringLookup(
vocabulary=output_text_processor.get_vocabulary(),
mask_token='',
invert=True))
# The output should never generate padding, unknown, or start.
index_from_string = tf.keras.layers.StringLookup(
vocabulary=output_text_processor.get_vocabulary(), mask_token='')
token_mask_ids = index_from_string(['', '[UNK]', '[START]']).numpy()
token_mask = np.zeros([index_from_string.vocabulary_size()], dtype=np.bool)
token_mask[np.array(token_mask_ids)] = True
self.token_mask = token_mask
self.start_token = index_from_string(tf.constant('[START]'))
self.end_token = index_from_string(tf.constant('[END]'))
translator = Translator(
encoder=train_translator.encoder,
decoder=train_translator.decoder,
input_text_processor=input_text_processor,
output_text_processor=output_text_processor,
)
/tmpfs/src/tf_docs_env/lib/python3.7/site-packages/ipykernel_launcher.py:21: DeprecationWarning: `np.bool` is a deprecated alias for the builtin `bool`. To silence this warning, use `bool` by itself. Doing this will not modify any behavior and is safe. If you specifically wanted the numpy scalar type, use `np.bool_` here. Deprecated in NumPy 1.20; for more details and guidance: https://numpy.org/devdocs/release/1.20.0-notes.html#deprecations
Ubah ID token menjadi teks
Metode pertama yang menerapkan adalah tokens_to_text yang bertobat dari ID token untuk teks yang dapat dibaca manusia.
def tokens_to_text(self, result_tokens):
shape_checker = ShapeChecker()
shape_checker(result_tokens, ('batch', 't'))
result_text_tokens = self.output_token_string_from_index(result_tokens)
shape_checker(result_text_tokens, ('batch', 't'))
result_text = tf.strings.reduce_join(result_text_tokens,
axis=1, separator=' ')
shape_checker(result_text, ('batch'))
result_text = tf.strings.strip(result_text)
shape_checker(result_text, ('batch',))
return result_text
Translator.tokens_to_text = tokens_to_text
Masukkan beberapa ID token acak dan lihat apa yang dihasilkannya:
example_output_tokens = tf.random.uniform(
shape=[5, 2], minval=0, dtype=tf.int64,
maxval=output_text_processor.vocabulary_size())
translator.tokens_to_text(example_output_tokens).numpy()
array([b'vain mysteries', b'funny ham', b'drivers responding',
b'mysterious ignoring', b'fashion votes'], dtype=object)
Contoh dari prediksi dekoder
Fungsi ini mengambil keluaran logit dekoder dan mengambil sampel ID token dari distribusi tersebut:
def sample(self, logits, temperature):
shape_checker = ShapeChecker()
# 't' is usually 1 here.
shape_checker(logits, ('batch', 't', 'vocab'))
shape_checker(self.token_mask, ('vocab',))
token_mask = self.token_mask[tf.newaxis, tf.newaxis, :]
shape_checker(token_mask, ('batch', 't', 'vocab'), broadcast=True)
# Set the logits for all masked tokens to -inf, so they are never chosen.
logits = tf.where(self.token_mask, -np.inf, logits)
if temperature == 0.0:
new_tokens = tf.argmax(logits, axis=-1)
else:
logits = tf.squeeze(logits, axis=1)
new_tokens = tf.random.categorical(logits/temperature,
num_samples=1)
shape_checker(new_tokens, ('batch', 't'))
return new_tokens
Translator.sample = sample
Uji coba fungsi ini pada beberapa input acak:
example_logits = tf.random.normal([5, 1, output_text_processor.vocabulary_size()])
example_output_tokens = translator.sample(example_logits, temperature=1.0)
example_output_tokens
<tf.Tensor: shape=(5, 1), dtype=int64, numpy=
array([[4506],
[3577],
[2961],
[4586],
[ 944]])>
Terapkan loop terjemahan
Berikut ini adalah implementasi lengkap dari loop terjemahan teks ke teks.
Implementasi ini mengumpulkan hasil ke dalam daftar python, sebelum menggunakan tf.concat untuk bergabung dengan mereka dalam tensor.
Implementasi ini statis unrolls grafik untuk max_length iterasi. Ini baik-baik saja dengan eksekusi bersemangat di python.
def translate_unrolled(self,
input_text, *,
max_length=50,
return_attention=True,
temperature=1.0):
batch_size = tf.shape(input_text)[0]
input_tokens = self.input_text_processor(input_text)
enc_output, enc_state = self.encoder(input_tokens)
dec_state = enc_state
new_tokens = tf.fill([batch_size, 1], self.start_token)
result_tokens = []
attention = []
done = tf.zeros([batch_size, 1], dtype=tf.bool)
for _ in range(max_length):
dec_input = DecoderInput(new_tokens=new_tokens,
enc_output=enc_output,
mask=(input_tokens!=0))
dec_result, dec_state = self.decoder(dec_input, state=dec_state)
attention.append(dec_result.attention_weights)
new_tokens = self.sample(dec_result.logits, temperature)
# If a sequence produces an `end_token`, set it `done`
done = done | (new_tokens == self.end_token)
# Once a sequence is done it only produces 0-padding.
new_tokens = tf.where(done, tf.constant(0, dtype=tf.int64), new_tokens)
# Collect the generated tokens
result_tokens.append(new_tokens)
if tf.executing_eagerly() and tf.reduce_all(done):
break
# Convert the list of generates token ids to a list of strings.
result_tokens = tf.concat(result_tokens, axis=-1)
result_text = self.tokens_to_text(result_tokens)
if return_attention:
attention_stack = tf.concat(attention, axis=1)
return {'text': result_text, 'attention': attention_stack}
else:
return {'text': result_text}
Translator.translate = translate_unrolled
Jalankan pada input sederhana:
%%time
input_text = tf.constant([
'hace mucho frio aqui.', # "It's really cold here."
'Esta es mi vida.', # "This is my life.""
])
result = translator.translate(
input_text = input_text)
print(result['text'][0].numpy().decode())
print(result['text'][1].numpy().decode())
print()
its a long cold here . this is my life . CPU times: user 165 ms, sys: 4.37 ms, total: 169 ms Wall time: 164 ms
Jika Anda ingin mengekspor model ini Anda akan perlu untuk membungkus metode ini dalam tf.function . Implementasi dasar ini memiliki beberapa masalah jika Anda mencoba melakukannya:
- Grafik yang dihasilkan sangat besar dan membutuhkan beberapa detik untuk dibuat, disimpan, atau dimuat.
- Anda tidak dapat mematahkan dari loop statis membuka gulungan, sehingga akan selalu berjalan
max_lengthiterasi, bahkan jika semua output dilakukan. Tetapi meskipun demikian, itu sedikit lebih cepat daripada eksekusi yang bersemangat.
@tf.function(input_signature=[tf.TensorSpec(dtype=tf.string, shape=[None])])
def tf_translate(self, input_text):
return self.translate(input_text)
Translator.tf_translate = tf_translate
Jalankan tf.function sekali untuk kompilasi:
%%time
result = translator.tf_translate(
input_text = input_text)
CPU times: user 18.8 s, sys: 0 ns, total: 18.8 s Wall time: 18.7 s
%%time
result = translator.tf_translate(
input_text = input_text)
print(result['text'][0].numpy().decode())
print(result['text'][1].numpy().decode())
print()
its very cold here . this is my life . CPU times: user 175 ms, sys: 0 ns, total: 175 ms Wall time: 88 ms
[Opsional] Gunakan loop simbolis
def translate_symbolic(self,
input_text,
*,
max_length=50,
return_attention=True,
temperature=1.0):
shape_checker = ShapeChecker()
shape_checker(input_text, ('batch',))
batch_size = tf.shape(input_text)[0]
# Encode the input
input_tokens = self.input_text_processor(input_text)
shape_checker(input_tokens, ('batch', 's'))
enc_output, enc_state = self.encoder(input_tokens)
shape_checker(enc_output, ('batch', 's', 'enc_units'))
shape_checker(enc_state, ('batch', 'enc_units'))
# Initialize the decoder
dec_state = enc_state
new_tokens = tf.fill([batch_size, 1], self.start_token)
shape_checker(new_tokens, ('batch', 't1'))
# Initialize the accumulators
result_tokens = tf.TensorArray(tf.int64, size=1, dynamic_size=True)
attention = tf.TensorArray(tf.float32, size=1, dynamic_size=True)
done = tf.zeros([batch_size, 1], dtype=tf.bool)
shape_checker(done, ('batch', 't1'))
for t in tf.range(max_length):
dec_input = DecoderInput(
new_tokens=new_tokens, enc_output=enc_output, mask=(input_tokens != 0))
dec_result, dec_state = self.decoder(dec_input, state=dec_state)
shape_checker(dec_result.attention_weights, ('batch', 't1', 's'))
attention = attention.write(t, dec_result.attention_weights)
new_tokens = self.sample(dec_result.logits, temperature)
shape_checker(dec_result.logits, ('batch', 't1', 'vocab'))
shape_checker(new_tokens, ('batch', 't1'))
# If a sequence produces an `end_token`, set it `done`
done = done | (new_tokens == self.end_token)
# Once a sequence is done it only produces 0-padding.
new_tokens = tf.where(done, tf.constant(0, dtype=tf.int64), new_tokens)
# Collect the generated tokens
result_tokens = result_tokens.write(t, new_tokens)
if tf.reduce_all(done):
break
# Convert the list of generated token ids to a list of strings.
result_tokens = result_tokens.stack()
shape_checker(result_tokens, ('t', 'batch', 't0'))
result_tokens = tf.squeeze(result_tokens, -1)
result_tokens = tf.transpose(result_tokens, [1, 0])
shape_checker(result_tokens, ('batch', 't'))
result_text = self.tokens_to_text(result_tokens)
shape_checker(result_text, ('batch',))
if return_attention:
attention_stack = attention.stack()
shape_checker(attention_stack, ('t', 'batch', 't1', 's'))
attention_stack = tf.squeeze(attention_stack, 2)
shape_checker(attention_stack, ('t', 'batch', 's'))
attention_stack = tf.transpose(attention_stack, [1, 0, 2])
shape_checker(attention_stack, ('batch', 't', 's'))
return {'text': result_text, 'attention': attention_stack}
else:
return {'text': result_text}
Translator.translate = translate_symbolic
Implementasi awal menggunakan daftar python untuk mengumpulkan output. Kegunaan ini tf.range sebagai loop iterator, memungkinkan tf.autograph untuk mengkonversi loop. Perubahan terbesar dalam implementasi ini adalah penggunaan tf.TensorArray bukan python list untuk tensor menumpuk. tf.TensorArray diperlukan untuk mengumpulkan sejumlah variabel tensor dalam mode grafik.
Dengan eksekusi yang bersemangat, implementasi ini bekerja setara dengan aslinya:
%%time
result = translator.translate(
input_text = input_text)
print(result['text'][0].numpy().decode())
print(result['text'][1].numpy().decode())
print()
its very cold here . this is my life . CPU times: user 175 ms, sys: 0 ns, total: 175 ms Wall time: 170 ms
Tetapi ketika Anda bungkus dalam tf.function Anda akan melihat dua perbedaan.
@tf.function(input_signature=[tf.TensorSpec(dtype=tf.string, shape=[None])])
def tf_translate(self, input_text):
return self.translate(input_text)
Translator.tf_translate = tf_translate
Pertama: pembuatan Grafik jauh lebih cepat (~ 10x), karena tidak menciptakan max_iterations salinan model.
%%time
result = translator.tf_translate(
input_text = input_text)
CPU times: user 1.79 s, sys: 0 ns, total: 1.79 s Wall time: 1.77 s
Kedua: Fungsi yang dikompilasi jauh lebih cepat pada input kecil (5x pada contoh ini), karena dapat keluar dari loop.
%%time
result = translator.tf_translate(
input_text = input_text)
print(result['text'][0].numpy().decode())
print(result['text'][1].numpy().decode())
print()
its very cold here . this is my life . CPU times: user 40.1 ms, sys: 0 ns, total: 40.1 ms Wall time: 17.1 ms
Visualisasikan prosesnya
Bobot perhatian dikembalikan oleh translate metode acara di mana model adalah "melihat" ketika dihasilkan setiap token output.
Jadi jumlah perhatian atas input harus mengembalikan semuanya:
a = result['attention'][0]
print(np.sum(a, axis=-1))
[1.0000001 0.99999994 1. 0.99999994 1. 0.99999994]
Berikut adalah distribusi perhatian untuk langkah keluaran pertama dari contoh pertama. Perhatikan bagaimana perhatian sekarang jauh lebih terfokus daripada untuk model yang tidak terlatih:
_ = plt.bar(range(len(a[0, :])), a[0, :])

Karena ada beberapa keselarasan kasar antara kata-kata input dan output, Anda mengharapkan perhatian difokuskan di dekat diagonal:
plt.imshow(np.array(a), vmin=0.0)
<matplotlib.image.AxesImage at 0x7faf2886ced0>

Berikut adalah beberapa kode untuk membuat plot perhatian yang lebih baik:
Plot perhatian berlabel
def plot_attention(attention, sentence, predicted_sentence):
sentence = tf_lower_and_split_punct(sentence).numpy().decode().split()
predicted_sentence = predicted_sentence.numpy().decode().split() + ['[END]']
fig = plt.figure(figsize=(10, 10))
ax = fig.add_subplot(1, 1, 1)
attention = attention[:len(predicted_sentence), :len(sentence)]
ax.matshow(attention, cmap='viridis', vmin=0.0)
fontdict = {'fontsize': 14}
ax.set_xticklabels([''] + sentence, fontdict=fontdict, rotation=90)
ax.set_yticklabels([''] + predicted_sentence, fontdict=fontdict)
ax.xaxis.set_major_locator(ticker.MultipleLocator(1))
ax.yaxis.set_major_locator(ticker.MultipleLocator(1))
ax.set_xlabel('Input text')
ax.set_ylabel('Output text')
plt.suptitle('Attention weights')
i=0
plot_attention(result['attention'][i], input_text[i], result['text'][i])
/tmpfs/src/tf_docs_env/lib/python3.7/site-packages/ipykernel_launcher.py:14: UserWarning: FixedFormatter should only be used together with FixedLocator /tmpfs/src/tf_docs_env/lib/python3.7/site-packages/ipykernel_launcher.py:15: UserWarning: FixedFormatter should only be used together with FixedLocator from ipykernel import kernelapp as app

Terjemahkan beberapa kalimat lagi dan buat plotnya:
%%time
three_input_text = tf.constant([
# This is my life.
'Esta es mi vida.',
# Are they still home?
'¿Todavía están en casa?',
# Try to find out.'
'Tratar de descubrir.',
])
result = translator.tf_translate(three_input_text)
for tr in result['text']:
print(tr.numpy().decode())
print()
this is my life . are you still at home ? all about killed . CPU times: user 78 ms, sys: 23 ms, total: 101 ms Wall time: 23.1 ms
result['text']
<tf.Tensor: shape=(3,), dtype=string, numpy=
array([b'this is my life .', b'are you still at home ?',
b'all about killed .'], dtype=object)>
i = 0
plot_attention(result['attention'][i], three_input_text[i], result['text'][i])
/tmpfs/src/tf_docs_env/lib/python3.7/site-packages/ipykernel_launcher.py:14: UserWarning: FixedFormatter should only be used together with FixedLocator /tmpfs/src/tf_docs_env/lib/python3.7/site-packages/ipykernel_launcher.py:15: UserWarning: FixedFormatter should only be used together with FixedLocator from ipykernel import kernelapp as app

i = 1
plot_attention(result['attention'][i], three_input_text[i], result['text'][i])
/tmpfs/src/tf_docs_env/lib/python3.7/site-packages/ipykernel_launcher.py:14: UserWarning: FixedFormatter should only be used together with FixedLocator /tmpfs/src/tf_docs_env/lib/python3.7/site-packages/ipykernel_launcher.py:15: UserWarning: FixedFormatter should only be used together with FixedLocator from ipykernel import kernelapp as app

i = 2
plot_attention(result['attention'][i], three_input_text[i], result['text'][i])
/tmpfs/src/tf_docs_env/lib/python3.7/site-packages/ipykernel_launcher.py:14: UserWarning: FixedFormatter should only be used together with FixedLocator /tmpfs/src/tf_docs_env/lib/python3.7/site-packages/ipykernel_launcher.py:15: UserWarning: FixedFormatter should only be used together with FixedLocator from ipykernel import kernelapp as app

Kalimat pendek sering kali berfungsi dengan baik, tetapi jika inputnya terlalu panjang, model benar-benar kehilangan fokus dan berhenti memberikan prediksi yang masuk akal. Ada dua alasan utama untuk ini:
- Model dilatih dengan pemaksaan guru memberi makan token yang benar pada setiap langkah, terlepas dari prediksi model. Model bisa dibuat lebih kuat jika kadang-kadang diberi prediksi sendiri.
- Model hanya memiliki akses ke output sebelumnya melalui status RNN. Jika status RNN rusak, tidak ada cara bagi model untuk pulih. Transformers menyelesaikan ini dengan menggunakan self-perhatian dalam encoder dan decoder.
long_input_text = tf.constant([inp[-1]])
import textwrap
print('Expected output:\n', '\n'.join(textwrap.wrap(targ[-1])))
Expected output: If you want to sound like a native speaker, you must be willing to practice saying the same sentence over and over in the same way that banjo players practice the same phrase over and over until they can play it correctly and at the desired tempo.
result = translator.tf_translate(long_input_text)
i = 0
plot_attention(result['attention'][i], long_input_text[i], result['text'][i])
_ = plt.suptitle('This never works')
/tmpfs/src/tf_docs_env/lib/python3.7/site-packages/ipykernel_launcher.py:14: UserWarning: FixedFormatter should only be used together with FixedLocator /tmpfs/src/tf_docs_env/lib/python3.7/site-packages/ipykernel_launcher.py:15: UserWarning: FixedFormatter should only be used together with FixedLocator from ipykernel import kernelapp as app

Ekspor
Setelah Anda memiliki model Anda puas dengan Anda mungkin ingin mengekspornya sebagai tf.saved_model untuk digunakan di luar program python ini yang menciptakannya.
Sejak model adalah subclass dari tf.Module (melalui keras.Model ), dan semua fungsi untuk ekspor disusun dalam tf.function model harus mengekspor bersih dengan tf.saved_model.save :
Sekarang bahwa fungsi telah dilacak dapat diekspor menggunakan saved_model.save :
tf.saved_model.save(translator, 'translator',
signatures={'serving_default': translator.tf_translate})
2021-12-04 12:27:54.310890: W tensorflow/python/util/util.cc:368] Sets are not currently considered sequences, but this may change in the future, so consider avoiding using them. WARNING:absl:Found untraced functions such as encoder_2_layer_call_fn, encoder_2_layer_call_and_return_conditional_losses, decoder_2_layer_call_fn, decoder_2_layer_call_and_return_conditional_losses, embedding_4_layer_call_fn while saving (showing 5 of 60). These functions will not be directly callable after loading. INFO:tensorflow:Assets written to: translator/assets INFO:tensorflow:Assets written to: translator/assets
reloaded = tf.saved_model.load('translator')
result = reloaded.tf_translate(three_input_text)
%%time
result = reloaded.tf_translate(three_input_text)
for tr in result['text']:
print(tr.numpy().decode())
print()
this is my life . are you still at home ? find out about to find out . CPU times: user 42.8 ms, sys: 7.69 ms, total: 50.5 ms Wall time: 20 ms
Langkah selanjutnya
- Download dataset yang berbeda untuk bereksperimen dengan terjemahan, misalnya, Inggris ke Jerman, atau Inggris ke Prancis.
- Bereksperimenlah dengan pelatihan pada kumpulan data yang lebih besar, atau menggunakan lebih banyak zaman.
- Coba transformator tutorial yang mengimplementasikan tugas terjemahan yang sama tetapi menggunakan lapisan transformator bukan RNNs. Versi ini juga menggunakan
text.BertTokenizeruntuk melaksanakan wordpiece tokenization. - Silahkan lihat di tensorflow_addons.seq2seq untuk menerapkan semacam ini urutan ke urutan Model. The
tfa.seq2seqpaket termasuk fungsi tingkat tinggi sepertiseq2seq.BeamSearchDecoder.
Lihat di TensorFlow.org
Jalankan di Google Colab
Lihat sumber di GitHub
Unduh buku catatan