תרגום מכונה עצבי עם תשומת לב

הצג באתר TensorFlow.org הפעל בגוגל קולאב צפה במקור ב-GitHubהורד מחברת

מחברת זו מכשירת רצף כדי רצף (seq2seq) מודל ספרדי תרגום אנגלי המבוסס על אפקטיביות גישות תרגום מכונה עצבית מבוסס קשב . זוהי דוגמה מתקדמת המניחה ידע מסוים ב:

  • רצף לדגמי רצף
  • יסודות TensorFlow מתחת לשכבת ה-keras:

בעוד הארכיטקטורה הזה מיושן במקצת זה עדיין פרויקט שימושי מאוד לעבודה דרך להגיע להבנה עמוקה יותר של מנגנוני לב (לפני שתעבור רובוטריקים ).

לאחר אימון המודל במחברת זו, תוכל להזין משפט ספרדי, כגון, ולהחזיר את התרגום לאנגלית "¿todavia Están en casa?": "האם אתה עדיין בבית"

המודל המתקבל הוא יציא בתור tf.saved_model , כך שהוא יכול לשמש סביבות TensorFlow אחרות.

איכות התרגום סבירה לדוגמה צעצוע, אבל עלילת תשומת הלב שנוצרה אולי מעניינת יותר. זה מראה לאילו חלקים במשפט הקלט יש את תשומת הלב של המודל בזמן התרגום:

עלילת תשומת לב ספרדית-אנגלית

להכין

pip install tensorflow_text
import numpy as np

import typing
from typing import Any, Tuple

import tensorflow as tf

import tensorflow_text as tf_text

import matplotlib.pyplot as plt
import matplotlib.ticker as ticker

מדריך זה בונה כמה שכבות מאפס, השתמש במשתנה זה אם ברצונך לעבור בין ההטמעה המותאמת והמובנית.

use_builtins = True

מדריך זה משתמש בהרבה ממשקי API ברמה נמוכה שבהם קל לטעות בצורות. מחלקה זו משמשת לבדיקת צורות לאורך המדריך.

בודק צורות

הנתונים

נשתמש במערך שפה שמספק http://www.manythings.org/anki/ מערך נתונים זה מכיל זוגות תרגום לשפה בפורמט:

May I borrow this book? ¿Puedo tomar prestado este libro?

יש להם מגוון שפות זמינות, אך אנו נשתמש במערך הנתונים האנגלי-ספרדי.

הורד והכן את מערך הנתונים

מטעמי נוחות, אירחנו עותק של מערך הנתונים הזה ב-Google Cloud, אך אתה יכול גם להוריד עותק משלך. לאחר הורדת מערך הנתונים, הנה השלבים שננקוט כדי להכין את הנתונים:

  1. הוספת התחלה וסיום אסימון לכול משפט.
  2. נקה את המשפטים על ידי הסרת תווים מיוחדים.
  3. צור אינדקס מילים ואינדקס מילים הפוך (מיפוי מילונים ממילה ← id ומזהה ← מילה).
  4. רפדו כל משפט באורך מקסימלי.
# Download the file
import pathlib

path_to_zip = tf.keras.utils.get_file(
    'spa-eng.zip', origin='http://storage.googleapis.com/download.tensorflow.org/data/spa-eng.zip',
    extract=True)

path_to_file = pathlib.Path(path_to_zip).parent/'spa-eng/spa.txt'
Downloading data from http://storage.googleapis.com/download.tensorflow.org/data/spa-eng.zip
2646016/2638744 [==============================] - 0s 0us/step
2654208/2638744 [==============================] - 0s 0us/step
def load_data(path):
  text = path.read_text(encoding='utf-8')

  lines = text.splitlines()
  pairs = [line.split('\t') for line in lines]

  inp = [inp for targ, inp in pairs]
  targ = [targ for targ, inp in pairs]

  return targ, inp
targ, inp = load_data(path_to_file)
print(inp[-1])
Si quieres sonar como un hablante nativo, debes estar dispuesto a practicar diciendo la misma frase una y otra vez de la misma manera en que un músico de banjo practica el mismo fraseo una y otra vez hasta que lo puedan tocar correctamente y en el tiempo esperado.
print(targ[-1])
If you want to sound like a native speaker, you must be willing to practice saying the same sentence over and over in the same way that banjo players practice the same phrase over and over until they can play it correctly and at the desired tempo.

צור מערך נתונים של tf.data

מערכים אלה של מחרוזות אתה יכול ליצור tf.data.Dataset של מחרוזות מדשדשות ותצוות אותם ביעילות:

BUFFER_SIZE = len(inp)
BATCH_SIZE = 64

dataset = tf.data.Dataset.from_tensor_slices((inp, targ)).shuffle(BUFFER_SIZE)
dataset = dataset.batch(BATCH_SIZE)
for example_input_batch, example_target_batch in dataset.take(1):
  print(example_input_batch[:5])
  print()
  print(example_target_batch[:5])
  break
tf.Tensor(
[b'No s\xc3\xa9 lo que quiero.' b'\xc2\xbfDeber\xc3\xada repetirlo?'
 b'Tard\xc3\xa9 m\xc3\xa1s de 2 horas en traducir unas p\xc3\xa1ginas en ingl\xc3\xa9s.'
 b'A Tom comenz\xc3\xb3 a temerle a Mary.' b'Mi pasatiempo es la lectura.'], shape=(5,), dtype=string)

tf.Tensor(
[b"I don't know what I want." b'Should I repeat it?'
 b'It took me more than two hours to translate a few pages of English.'
 b'Tom became afraid of Mary.' b'My hobby is reading.'], shape=(5,), dtype=string)

עיבוד מקדים של טקסט

אחת המטרות של הדרכה זו היא לבנות מודל שניתן לייצא בתור tf.saved_model . כדי להפוך מיוצא כי מודל שימושי זה צריך לקחת tf.string תשומות, ולחזור tf.string פלטי: כל עיבוד הטקסט קורה בתוך המודל.

תְקִינָה

המודל עוסק בטקסט רב לשוני עם אוצר מילים מוגבל. אז יהיה חשוב לעשות סטנדרטיזציה של טקסט הקלט.

השלב הראשון הוא נורמליזציה של Unicode לפיצול תווים מודגשים והחלפת תווי תאימות עם המקבילים שלהם ASCII.

tensorflow_text החבילה מכילה מבצע לנרמל Unicode:

example_text = tf.constant('¿Todavía está en casa?')

print(example_text.numpy())
print(tf_text.normalize_utf8(example_text, 'NFKD').numpy())
b'\xc2\xbfTodav\xc3\xada est\xc3\xa1 en casa?'
b'\xc2\xbfTodavi\xcc\x81a esta\xcc\x81 en casa?'

נורמליזציה של Unicode תהיה השלב הראשון בפונקציית תקינת הטקסט:

def tf_lower_and_split_punct(text):
  # Split accecented characters.
  text = tf_text.normalize_utf8(text, 'NFKD')
  text = tf.strings.lower(text)
  # Keep space, a to z, and select punctuation.
  text = tf.strings.regex_replace(text, '[^ a-z.?!,¿]', '')
  # Add spaces around punctuation.
  text = tf.strings.regex_replace(text, '[.?!,¿]', r' \0 ')
  # Strip whitespace.
  text = tf.strings.strip(text)

  text = tf.strings.join(['[START]', text, '[END]'], separator=' ')
  return text
print(example_text.numpy().decode())
print(tf_lower_and_split_punct(example_text).numpy().decode())
¿Todavía está en casa?
[START] ¿ todavia esta en casa ? [END]

וקטוריזציה של טקסט

פונקציה תקינה זה תהיה עטוף tf.keras.layers.TextVectorization שכבה אשר תטפל חילוץ אוצר המילים ומר של טקסט קלט רצפים של אסימונים.

max_vocab_size = 5000

input_text_processor = tf.keras.layers.TextVectorization(
    standardize=tf_lower_and_split_punct,
    max_tokens=max_vocab_size)

TextVectorization השכבה ושכבות מקדימות רבות אחרות יש adapt שיטה. שיטה זו קורא עידן אחד הנתונים הכשרה, ועובד הרבה כמו Model.fix . זה adapt לשיטה מאתחלת את השכבה המבוססת על הנתונים. כאן זה קובע את אוצר המילים:

input_text_processor.adapt(inp)

# Here are the first 10 words from the vocabulary:
input_text_processor.get_vocabulary()[:10]
['', '[UNK]', '[START]', '[END]', '.', 'que', 'de', 'el', 'a', 'no']

זהו ספרדית TextVectorization השכבה, עכשיו לבנות .adapt() האנגלים אחד:

output_text_processor = tf.keras.layers.TextVectorization(
    standardize=tf_lower_and_split_punct,
    max_tokens=max_vocab_size)

output_text_processor.adapt(targ)
output_text_processor.get_vocabulary()[:10]
['', '[UNK]', '[START]', '[END]', '.', 'the', 'i', 'to', 'you', 'tom']

כעת השכבות הללו יכולות להמיר אצווה של מחרוזות לאצווה של מזהי אסימון:

example_tokens = input_text_processor(example_input_batch)
example_tokens[:3, :10]
<tf.Tensor: shape=(3, 10), dtype=int64, numpy=
array([[   2,    9,   17,   22,    5,   48,    4,    3,    0,    0],
       [   2,   13,  177,    1,   12,    3,    0,    0,    0,    0],
       [   2,  120,   35,    6,  290,   14, 2134,  506, 2637,   14]])>

get_vocabulary השיטה יכולה לשמש כדי להמיר מזהי אסימון חזרה לטקסט:

input_vocab = np.array(input_text_processor.get_vocabulary())
tokens = input_vocab[example_tokens[0].numpy()]
' '.join(tokens)
'[START] no se lo que quiero . [END]      '

מזהי האסימון המוחזרים מרופדים באפס. זה יכול להפוך בקלות למסכה:

plt.subplot(1, 2, 1)
plt.pcolormesh(example_tokens)
plt.title('Token IDs')

plt.subplot(1, 2, 2)
plt.pcolormesh(example_tokens != 0)
plt.title('Mask')
Text(0.5, 1.0, 'Mask')

png

דגם המקודד/מפענח

התרשים הבא מציג סקירה כללית של המודל. בכל שלב זמן, הפלט של המפענח משולב עם סכום משוקלל על הקלט המקודד, כדי לחזות את המילה הבאה. התרשים ונוסחאות הם מן הנייר של לואונג .

מנגנון קשב

לפני שנכנסים לזה הגדירו כמה קבועים עבור המודל:

embedding_dim = 256
units = 1024

המקודד

התחל בבניית המקודד, החלק הכחול בתרשים למעלה.

המקודד:

  1. לוקח רשימה של מזהי האסימון (מ input_text_processor ).
  2. מרימה את וקטור הטבעה לכל אסימון (באמצעות layers.Embedding ).
  3. מעבד את השיבוצים לתוך רצף חדש (שימוש layers.GRU ).
  4. החזרות:
    • הרצף המעובד. זה יועבר לראש תשומת הלב.
    • המצב הפנימי. זה ישמש לאתחול המפענח
class Encoder(tf.keras.layers.Layer):
  def __init__(self, input_vocab_size, embedding_dim, enc_units):
    super(Encoder, self).__init__()
    self.enc_units = enc_units
    self.input_vocab_size = input_vocab_size

    # The embedding layer converts tokens to vectors
    self.embedding = tf.keras.layers.Embedding(self.input_vocab_size,
                                               embedding_dim)

    # The GRU RNN layer processes those vectors sequentially.
    self.gru = tf.keras.layers.GRU(self.enc_units,
                                   # Return the sequence and state
                                   return_sequences=True,
                                   return_state=True,
                                   recurrent_initializer='glorot_uniform')

  def call(self, tokens, state=None):
    shape_checker = ShapeChecker()
    shape_checker(tokens, ('batch', 's'))

    # 2. The embedding layer looks up the embedding for each token.
    vectors = self.embedding(tokens)
    shape_checker(vectors, ('batch', 's', 'embed_dim'))

    # 3. The GRU processes the embedding sequence.
    #    output shape: (batch, s, enc_units)
    #    state shape: (batch, enc_units)
    output, state = self.gru(vectors, initial_state=state)
    shape_checker(output, ('batch', 's', 'enc_units'))
    shape_checker(state, ('batch', 'enc_units'))

    # 4. Returns the new sequence and its state.
    return output, state

הנה איך זה משתלב עד כה:

# Convert the input text to tokens.
example_tokens = input_text_processor(example_input_batch)

# Encode the input sequence.
encoder = Encoder(input_text_processor.vocabulary_size(),
                  embedding_dim, units)
example_enc_output, example_enc_state = encoder(example_tokens)

print(f'Input batch, shape (batch): {example_input_batch.shape}')
print(f'Input batch tokens, shape (batch, s): {example_tokens.shape}')
print(f'Encoder output, shape (batch, s, units): {example_enc_output.shape}')
print(f'Encoder state, shape (batch, units): {example_enc_state.shape}')
Input batch, shape (batch): (64,)
Input batch tokens, shape (batch, s): (64, 14)
Encoder output, shape (batch, s, units): (64, 14, 1024)
Encoder state, shape (batch, units): (64, 1024)

המקודד מחזיר את המצב הפנימי שלו כך שניתן יהיה להשתמש במצבו לאתחול המפענח.

זה גם נפוץ ש-RNN מחזיר את המצב שלו כך שהוא יכול לעבד רצף על פני מספר שיחות. אתה תראה יותר מזה בונה את המפענח.

ראש תשומת הלב

המפענח משתמש בתשומת לב כדי להתמקד באופן סלקטיבי בחלקים מרצף הקלט. הקשב לוקח רצף של וקטורים כקלט עבור כל דוגמה ומחזיר וקטור "תשומת לב" לכל דוגמה. שכבת תשומה זה דומה layers.GlobalAveragePoling1D אבל שכבת תשומת מבצעת ממוצע משוקלל.

בואו נראה איך זה עובד:

משוואת קשב 1

משוואת קשב 2

איפה:

  • \(s\) הוא המדד המקודד.
  • \(t\) הוא המדד המפענח.
  • \(\alpha_{ts}\) הוא משקולות לב.
  • \(h_s\) הוא הרצף של יציאות מקודדות מטפל בו (לידיעה "מפתח" ו "הערך" בטרמינולוגית שנאי).
  • \(h_t\) היא המדינה מפענח השתתפות לרצף (לידיעת "שאילתה" בטרמינולוגיה שנאי).
  • \(c_t\) הוא וקטור בהקשר שהתקבל.
  • \(a_t\) הוא התוצר הסופי שילוב "בהקשר" ו "שאילתה".

המשוואות:

  1. חישוב משקולות לב, \(\alpha_{ts}\), כמו softmax פני רצף התפוקה של המקודד.
  2. מחשב את וקטור ההקשר כסכום המשוקלל של יציאות המקודד.

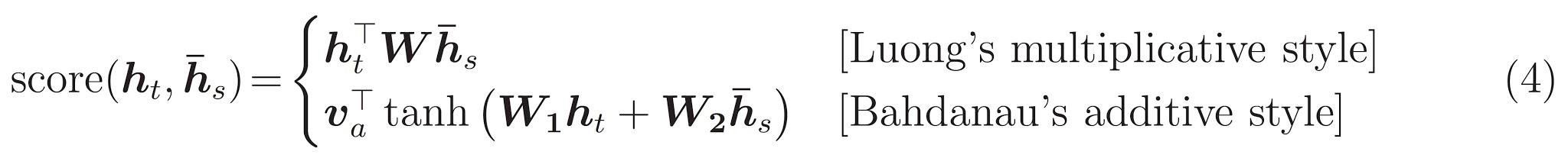
האחרון הוא \(score\) הפונקציה. תפקידו הוא לחשב ציון logit סקלארי עבור כל זוג מפתח-שאילתה. ישנן שתי גישות נפוצות:

משוואת קשב 4

הדרכה זו משתמשת תשומת התוסף של Bahdanau . TensorFlow כולל הטמעות של שניהם כמו layers.Attention ו layers.AdditiveAttention . המעמד מתחת ידיות מטריצות משקל בזוג layers.Dense שכבות, וקורא ליישום המובנה.

class BahdanauAttention(tf.keras.layers.Layer):
  def __init__(self, units):
    super().__init__()
    # For Eqn. (4), the  Bahdanau attention
    self.W1 = tf.keras.layers.Dense(units, use_bias=False)
    self.W2 = tf.keras.layers.Dense(units, use_bias=False)

    self.attention = tf.keras.layers.AdditiveAttention()

  def call(self, query, value, mask):
    shape_checker = ShapeChecker()
    shape_checker(query, ('batch', 't', 'query_units'))
    shape_checker(value, ('batch', 's', 'value_units'))
    shape_checker(mask, ('batch', 's'))

    # From Eqn. (4), `W1@ht`.
    w1_query = self.W1(query)
    shape_checker(w1_query, ('batch', 't', 'attn_units'))

    # From Eqn. (4), `W2@hs`.
    w2_key = self.W2(value)
    shape_checker(w2_key, ('batch', 's', 'attn_units'))

    query_mask = tf.ones(tf.shape(query)[:-1], dtype=bool)
    value_mask = mask

    context_vector, attention_weights = self.attention(
        inputs = [w1_query, value, w2_key],
        mask=[query_mask, value_mask],
        return_attention_scores = True,
    )
    shape_checker(context_vector, ('batch', 't', 'value_units'))
    shape_checker(attention_weights, ('batch', 't', 's'))

    return context_vector, attention_weights

בדוק את שכבת הקשב

צור BahdanauAttention שכבה:

attention_layer = BahdanauAttention(units)

שכבה זו לוקחת 3 כניסות:

  • query : זה תופק על ידי המפענח, מאוחר יותר.
  • value : זה יהיה הפלט של המקודד.
  • mask : כדי להוציא את הריפוד, example_tokens != 0
(example_tokens != 0).shape
TensorShape([64, 14])

ההטמעה הווקטורית של שכבת הקשב מאפשרת לך להעביר אצווה של רצפים של וקטורי שאילתה ואצווה של רצף של וקטורי ערך. התוצאה היא:

  1. אצווה של רצפים של וקטורים של תוצאות בגודל השאילתות.
  2. תשומת לב יצווה מפות, עם גודל (query_length, value_length) .
# Later, the decoder will generate this attention query
example_attention_query = tf.random.normal(shape=[len(example_tokens), 2, 10])

# Attend to the encoded tokens

context_vector, attention_weights = attention_layer(
    query=example_attention_query,
    value=example_enc_output,
    mask=(example_tokens != 0))

print(f'Attention result shape: (batch_size, query_seq_length, units):           {context_vector.shape}')
print(f'Attention weights shape: (batch_size, query_seq_length, value_seq_length): {attention_weights.shape}')
Attention result shape: (batch_size, query_seq_length, units):           (64, 2, 1024)
Attention weights shape: (batch_size, query_seq_length, value_seq_length): (64, 2, 14)

המשקלים תשומת צריך לסכם ל 1.0 עבור כל רצף.

להלן משקולות תשומת ברחבי הרצפים ב t=0 :

plt.subplot(1, 2, 1)
plt.pcolormesh(attention_weights[:, 0, :])
plt.title('Attention weights')

plt.subplot(1, 2, 2)
plt.pcolormesh(example_tokens != 0)
plt.title('Mask')
Text(0.5, 1.0, 'Mask')

png

בגלל האתחול הקטן-האקראי את משקולות התשומה נמצאות בקרבת 1/(sequence_length) . אם אתה מתקרב על המשקולות עבור רצף יחיד, אתה יכול לראות כי יש וריאציה קצת קטנה שהמודל יכול ללמוד להתרחב, לנצל.

attention_weights.shape
TensorShape([64, 2, 14])
attention_slice = attention_weights[0, 0].numpy()
attention_slice = attention_slice[attention_slice != 0]

[<matplotlib.lines.Line2D at 0x7fb42c5b1090>]
<Figure size 432x288 with 0 Axes>

png

המפענח

תפקידו של המפענח הוא ליצור תחזיות עבור אסימון הפלט הבא.

  1. המפענח מקבל את הפלט המלא של המקודד.
  2. הוא משתמש ב-RNN כדי לעקוב אחר מה שהוא יצר עד כה.
  3. הוא משתמש בפלט ה-RNN שלו בתור השאילתה לתשומת לב מעל הפלט של המקודד, ומייצר את וקטור ההקשר.
  4. הוא משלב את פלט RNN ואת וקטור ההקשר באמצעות משוואה 3 (להלן) כדי ליצור את "וקטור הקשב".
  5. הוא מייצר תחזיות לוגיט עבור האסימון הבא על סמך "וקטור הקשב".

משוואת קשב 3

הנה Decoder בכיתה ו מאתחל שלה. האתחול יוצר את כל השכבות הדרושות.

class Decoder(tf.keras.layers.Layer):
  def __init__(self, output_vocab_size, embedding_dim, dec_units):
    super(Decoder, self).__init__()
    self.dec_units = dec_units
    self.output_vocab_size = output_vocab_size
    self.embedding_dim = embedding_dim

    # For Step 1. The embedding layer convets token IDs to vectors
    self.embedding = tf.keras.layers.Embedding(self.output_vocab_size,
                                               embedding_dim)

    # For Step 2. The RNN keeps track of what's been generated so far.
    self.gru = tf.keras.layers.GRU(self.dec_units,
                                   return_sequences=True,
                                   return_state=True,
                                   recurrent_initializer='glorot_uniform')

    # For step 3. The RNN output will be the query for the attention layer.
    self.attention = BahdanauAttention(self.dec_units)

    # For step 4. Eqn. (3): converting `ct` to `at`
    self.Wc = tf.keras.layers.Dense(dec_units, activation=tf.math.tanh,
                                    use_bias=False)

    # For step 5. This fully connected layer produces the logits for each
    # output token.
    self.fc = tf.keras.layers.Dense(self.output_vocab_size)

call שיטת השכבה הזו לוקחת ומחזיר tensors המרובה. ארגן את אלה במחלקות מיכל פשוטות:

class DecoderInput(typing.NamedTuple):
  new_tokens: Any
  enc_output: Any
  mask: Any

class DecoderOutput(typing.NamedTuple):
  logits: Any
  attention_weights: Any

הנה היישום של call שיטה:

def call(self,
         inputs: DecoderInput,
         state=None) -> Tuple[DecoderOutput, tf.Tensor]:
  shape_checker = ShapeChecker()
  shape_checker(inputs.new_tokens, ('batch', 't'))
  shape_checker(inputs.enc_output, ('batch', 's', 'enc_units'))
  shape_checker(inputs.mask, ('batch', 's'))

  if state is not None:
    shape_checker(state, ('batch', 'dec_units'))

  # Step 1. Lookup the embeddings
  vectors = self.embedding(inputs.new_tokens)
  shape_checker(vectors, ('batch', 't', 'embedding_dim'))

  # Step 2. Process one step with the RNN
  rnn_output, state = self.gru(vectors, initial_state=state)

  shape_checker(rnn_output, ('batch', 't', 'dec_units'))
  shape_checker(state, ('batch', 'dec_units'))

  # Step 3. Use the RNN output as the query for the attention over the
  # encoder output.
  context_vector, attention_weights = self.attention(
      query=rnn_output, value=inputs.enc_output, mask=inputs.mask)
  shape_checker(context_vector, ('batch', 't', 'dec_units'))
  shape_checker(attention_weights, ('batch', 't', 's'))

  # Step 4. Eqn. (3): Join the context_vector and rnn_output
  #     [ct; ht] shape: (batch t, value_units + query_units)
  context_and_rnn_output = tf.concat([context_vector, rnn_output], axis=-1)

  # Step 4. Eqn. (3): `at = tanh(Wc@[ct; ht])`
  attention_vector = self.Wc(context_and_rnn_output)
  shape_checker(attention_vector, ('batch', 't', 'dec_units'))

  # Step 5. Generate logit predictions:
  logits = self.fc(attention_vector)
  shape_checker(logits, ('batch', 't', 'output_vocab_size'))

  return DecoderOutput(logits, attention_weights), state
Decoder.call = call

מקודד מעבדת רצף הקלט המלא שלו עם קריאה יחידה שלה RNN. יישום זה של המפענח יכול לעשות את זה גם לאימון יעיל. אבל מדריך זה יריץ את המפענח בלולאה מכמה סיבות:

  • גמישות: כתיבת הלולאה מעניקה לך שליטה ישירה על הליך האימון.
  • בהירות: אפשר לעשות טריקים מיסוך ולהשתמש layers.RNN , או tfa.seq2seq APIs לארוז את כל זה לתוך שיחה אחת. אבל לכתוב את זה בתור לולאה עשוי להיות ברור יותר.
    • ההדרכה ללא תשלום Loop מודגמת טקסט דור tutiorial.

כעת נסה להשתמש במפענח זה.

decoder = Decoder(output_text_processor.vocabulary_size(),
                  embedding_dim, units)

המפענח מקבל 4 כניסות.

  • new_tokens - שהפיק את האסימון האחרון. לאתחל את המפענח עם "[START]" האסימון.
  • enc_output - Generated ידי Encoder .
  • mask - טנזור בוליאני המציין היכן tokens != 0
  • state - הקודם state פלט מן המפענח (המצב הפנימי של RNN של המפענח). Pass None אפס-לאתחל אותו. הנייר המקורי מאתחל אותו ממצב ה-RNN הסופי של המקודד.
# Convert the target sequence, and collect the "[START]" tokens
example_output_tokens = output_text_processor(example_target_batch)

start_index = output_text_processor.get_vocabulary().index('[START]')
first_token = tf.constant([[start_index]] * example_output_tokens.shape[0])
# Run the decoder
dec_result, dec_state = decoder(
    inputs = DecoderInput(new_tokens=first_token,
                          enc_output=example_enc_output,
                          mask=(example_tokens != 0)),
    state = example_enc_state
)

print(f'logits shape: (batch_size, t, output_vocab_size) {dec_result.logits.shape}')
print(f'state shape: (batch_size, dec_units) {dec_state.shape}')
logits shape: (batch_size, t, output_vocab_size) (64, 1, 5000)
state shape: (batch_size, dec_units) (64, 1024)

דגום אסימון לפי הלוגיטים:

sampled_token = tf.random.categorical(dec_result.logits[:, 0, :], num_samples=1)

פענח את האסימון כמילה הראשונה של הפלט:

vocab = np.array(output_text_processor.get_vocabulary())
first_word = vocab[sampled_token.numpy()]
first_word[:5]
array([['already'],
       ['plants'],
       ['pretended'],
       ['convince'],
       ['square']], dtype='<U16')

כעת השתמש במפענח כדי ליצור קבוצה שנייה של לוגיטים.

  • לעבור אותו enc_output ו mask , אלה לא השתנו.
  • תעביר את שנדגמו אסימון כמו new_tokens .
  • תעביר את decoder_state מפענח חזר בפעם האחרונה, כך RNN ממשיך עם זיכרון של המקום שבו נעצר בפעם האחרונה.
dec_result, dec_state = decoder(
    DecoderInput(sampled_token,
                 example_enc_output,
                 mask=(example_tokens != 0)),
    state=dec_state)
sampled_token = tf.random.categorical(dec_result.logits[:, 0, :], num_samples=1)
first_word = vocab[sampled_token.numpy()]
first_word[:5]
array([['nap'],
       ['mean'],
       ['worker'],
       ['passage'],
       ['baked']], dtype='<U16')

הַדְרָכָה

עכשיו כשיש לכם את כל מרכיבי הדגם, הגיע הזמן להתחיל לאמן את הדגם. אתה תצטרך:

  • פונקציית אובדן ואופטימיזציה לביצוע האופטימיזציה.
  • פונקציית צעד אימון המגדירה כיצד לעדכן את המודל עבור כל אצווה קלט/יעד.
  • לולאת הדרכה להנעת האימון ולשמירה על מחסומים.

הגדר את פונקציית ההפסד

class MaskedLoss(tf.keras.losses.Loss):
  def __init__(self):
    self.name = 'masked_loss'
    self.loss = tf.keras.losses.SparseCategoricalCrossentropy(
        from_logits=True, reduction='none')

  def __call__(self, y_true, y_pred):
    shape_checker = ShapeChecker()
    shape_checker(y_true, ('batch', 't'))
    shape_checker(y_pred, ('batch', 't', 'logits'))

    # Calculate the loss for each item in the batch.
    loss = self.loss(y_true, y_pred)
    shape_checker(loss, ('batch', 't'))

    # Mask off the losses on padding.
    mask = tf.cast(y_true != 0, tf.float32)
    shape_checker(mask, ('batch', 't'))
    loss *= mask

    # Return the total.
    return tf.reduce_sum(loss)

יישם את שלב ההכשרה

התחל עם מח' מודל, תהליך ההכשרה ייושם כמו train_step שיטת לדגם הזה. ראה התאמה אישית להתאים לפרטים.

כאן train_step השיטה היא מעטפת סביב _train_step היישום אשר יגיע בהמשך. מעטפת זו כוללת מתג כדי להפעיל ולכבות tf.function הידור, לעשות באגים קל יותר.

class TrainTranslator(tf.keras.Model):
  def __init__(self, embedding_dim, units,
               input_text_processor,
               output_text_processor, 
               use_tf_function=True):
    super().__init__()
    # Build the encoder and decoder
    encoder = Encoder(input_text_processor.vocabulary_size(),
                      embedding_dim, units)
    decoder = Decoder(output_text_processor.vocabulary_size(),
                      embedding_dim, units)

    self.encoder = encoder
    self.decoder = decoder
    self.input_text_processor = input_text_processor
    self.output_text_processor = output_text_processor
    self.use_tf_function = use_tf_function
    self.shape_checker = ShapeChecker()

  def train_step(self, inputs):
    self.shape_checker = ShapeChecker()
    if self.use_tf_function:
      return self._tf_train_step(inputs)
    else:
      return self._train_step(inputs)

בסך הכל היישום עבור Model.train_step השיטה הוא כדלקמן:

  1. קבלו אצווה של input_text, target_text מן tf.data.Dataset .
  2. המר את קלט הטקסט הגולמי האלה להטמעות אסימון ומסיכות.
  3. הפעל את המקודד על input_tokens כדי לקבל את encoder_output ו encoder_state .
  4. אתחול מצב המפענח ואובדן.
  5. Loop הרחב target_tokens :
    1. הפעל את המפענח צעד אחד בכל פעם.
    2. חשב את ההפסד עבור כל שלב.
    3. צבור את ההפסד הממוצע.
  6. חשבתי את השיפוע של האובדן ולהשתמש האופטימיזציה להחיל עדכונים של המודל trainable_variables .

_preprocess השיטה, הוסיף בהמשך, מיישמת צעדים # 1 ו # 2:

def _preprocess(self, input_text, target_text):
  self.shape_checker(input_text, ('batch',))
  self.shape_checker(target_text, ('batch',))

  # Convert the text to token IDs
  input_tokens = self.input_text_processor(input_text)
  target_tokens = self.output_text_processor(target_text)
  self.shape_checker(input_tokens, ('batch', 's'))
  self.shape_checker(target_tokens, ('batch', 't'))

  # Convert IDs to masks.
  input_mask = input_tokens != 0
  self.shape_checker(input_mask, ('batch', 's'))

  target_mask = target_tokens != 0
  self.shape_checker(target_mask, ('batch', 't'))

  return input_tokens, input_mask, target_tokens, target_mask
TrainTranslator._preprocess = _preprocess

_train_step השיטה, הוסיף בהמשך, מטפל השלבים הנותרים למעט בעצם מפעיל את מפענח:

def _train_step(self, inputs):
  input_text, target_text = inputs  

  (input_tokens, input_mask,
   target_tokens, target_mask) = self._preprocess(input_text, target_text)

  max_target_length = tf.shape(target_tokens)[1]

  with tf.GradientTape() as tape:
    # Encode the input
    enc_output, enc_state = self.encoder(input_tokens)
    self.shape_checker(enc_output, ('batch', 's', 'enc_units'))
    self.shape_checker(enc_state, ('batch', 'enc_units'))

    # Initialize the decoder's state to the encoder's final state.
    # This only works if the encoder and decoder have the same number of
    # units.
    dec_state = enc_state
    loss = tf.constant(0.0)

    for t in tf.range(max_target_length-1):
      # Pass in two tokens from the target sequence:
      # 1. The current input to the decoder.
      # 2. The target for the decoder's next prediction.
      new_tokens = target_tokens[:, t:t+2]
      step_loss, dec_state = self._loop_step(new_tokens, input_mask,
                                             enc_output, dec_state)
      loss = loss + step_loss

    # Average the loss over all non padding tokens.
    average_loss = loss / tf.reduce_sum(tf.cast(target_mask, tf.float32))

  # Apply an optimization step
  variables = self.trainable_variables 
  gradients = tape.gradient(average_loss, variables)
  self.optimizer.apply_gradients(zip(gradients, variables))

  # Return a dict mapping metric names to current value
  return {'batch_loss': average_loss}
TrainTranslator._train_step = _train_step

_loop_step השיטה, הוסיף בהמשך, מבצעת את המפענח ומחשבת האובדן מצטבר והמדינה מפענחת חדשה ( dec_state ).

def _loop_step(self, new_tokens, input_mask, enc_output, dec_state):
  input_token, target_token = new_tokens[:, 0:1], new_tokens[:, 1:2]

  # Run the decoder one step.
  decoder_input = DecoderInput(new_tokens=input_token,
                               enc_output=enc_output,
                               mask=input_mask)

  dec_result, dec_state = self.decoder(decoder_input, state=dec_state)
  self.shape_checker(dec_result.logits, ('batch', 't1', 'logits'))
  self.shape_checker(dec_result.attention_weights, ('batch', 't1', 's'))
  self.shape_checker(dec_state, ('batch', 'dec_units'))

  # `self.loss` returns the total for non-padded tokens
  y = target_token
  y_pred = dec_result.logits
  step_loss = self.loss(y, y_pred)

  return step_loss, dec_state
TrainTranslator._loop_step = _loop_step

בדוק את שלב האימון

בנה TrainTranslator , ולהגדיר אותו לאימון באמצעות Model.compile השיטה:

translator = TrainTranslator(
    embedding_dim, units,
    input_text_processor=input_text_processor,
    output_text_processor=output_text_processor,
    use_tf_function=False)

# Configure the loss and optimizer
translator.compile(
    optimizer=tf.optimizers.Adam(),
    loss=MaskedLoss(),
)

בחן את train_step . עבור מודל טקסט כמו זה, ההפסד אמור להתחיל ליד:

np.log(output_text_processor.vocabulary_size())
8.517193191416236
%%time
for n in range(10):
  print(translator.train_step([example_input_batch, example_target_batch]))
print()
{'batch_loss': <tf.Tensor: shape=(), dtype=float32, numpy=7.5849695>}
{'batch_loss': <tf.Tensor: shape=(), dtype=float32, numpy=7.55271>}
{'batch_loss': <tf.Tensor: shape=(), dtype=float32, numpy=7.4929113>}
{'batch_loss': <tf.Tensor: shape=(), dtype=float32, numpy=7.3296022>}
{'batch_loss': <tf.Tensor: shape=(), dtype=float32, numpy=6.80437>}
{'batch_loss': <tf.Tensor: shape=(), dtype=float32, numpy=5.000246>}
{'batch_loss': <tf.Tensor: shape=(), dtype=float32, numpy=5.8740363>}
{'batch_loss': <tf.Tensor: shape=(), dtype=float32, numpy=4.794589>}
{'batch_loss': <tf.Tensor: shape=(), dtype=float32, numpy=4.3175836>}
{'batch_loss': <tf.Tensor: shape=(), dtype=float32, numpy=4.108163>}

CPU times: user 5.49 s, sys: 0 ns, total: 5.49 s
Wall time: 5.45 s

למרות שזה קל יותר באגים ללא tf.function זה נותן שיפור בביצועים. אז עכשיו כי _train_step השיטה עובדת, נסה את tf.function -wrapped _tf_train_step , כדי למקסם את הביצועים תוך הכשרה:

@tf.function(input_signature=[[tf.TensorSpec(dtype=tf.string, shape=[None]),
                               tf.TensorSpec(dtype=tf.string, shape=[None])]])
def _tf_train_step(self, inputs):
  return self._train_step(inputs)
TrainTranslator._tf_train_step = _tf_train_step
translator.use_tf_function = True

השיחה הראשונה תהיה איטית, מכיוון שהיא עוקבת אחר הפונקציה.

translator.train_step([example_input_batch, example_target_batch])
2021-12-04 12:09:48.074769: E tensorflow/core/grappler/optimizers/meta_optimizer.cc:812] function_optimizer failed: INVALID_ARGUMENT: Input 6 of node gradient_tape/while/while_grad/body/_531/gradient_tape/while/gradients/while/decoder_1/gru_3/PartitionedCall_grad/PartitionedCall was passed variant from gradient_tape/while/while_grad/body/_531/gradient_tape/while/gradients/while/decoder_1/gru_3/PartitionedCall_grad/TensorListPopBack_2:1 incompatible with expected float.
2021-12-04 12:09:48.180156: E tensorflow/core/grappler/optimizers/meta_optimizer.cc:812] layout failed: OUT_OF_RANGE: src_output = 25, but num_outputs is only 25
2021-12-04 12:09:48.285846: E tensorflow/core/grappler/optimizers/meta_optimizer.cc:812] tfg_optimizer{} failed: INVALID_ARGUMENT: Input 6 of node gradient_tape/while/while_grad/body/_531/gradient_tape/while/gradients/while/decoder_1/gru_3/PartitionedCall_grad/PartitionedCall was passed variant from gradient_tape/while/while_grad/body/_531/gradient_tape/while/gradients/while/decoder_1/gru_3/PartitionedCall_grad/TensorListPopBack_2:1 incompatible with expected float.
    when importing GraphDef to MLIR module in GrapplerHook
2021-12-04 12:09:48.307794: E tensorflow/core/grappler/optimizers/meta_optimizer.cc:812] function_optimizer failed: INVALID_ARGUMENT: Input 6 of node gradient_tape/while/while_grad/body/_531/gradient_tape/while/gradients/while/decoder_1/gru_3/PartitionedCall_grad/PartitionedCall was passed variant from gradient_tape/while/while_grad/body/_531/gradient_tape/while/gradients/while/decoder_1/gru_3/PartitionedCall_grad/TensorListPopBack_2:1 incompatible with expected float.
2021-12-04 12:09:48.425447: W tensorflow/core/common_runtime/process_function_library_runtime.cc:866] Ignoring multi-device function optimization failure: INVALID_ARGUMENT: Input 1 of node while/body/_1/while/TensorListPushBack_56 was passed float from while/body/_1/while/decoder_1/gru_3/PartitionedCall:6 incompatible with expected variant.
{'batch_loss': <tf.Tensor: shape=(), dtype=float32, numpy=4.045638>}

אבל אחרי שזה בדרך כלל 2-3x מהר יותר להוט train_step השיטה:

%%time
for n in range(10):
  print(translator.train_step([example_input_batch, example_target_batch]))
print()
{'batch_loss': <tf.Tensor: shape=(), dtype=float32, numpy=4.1098256>}
{'batch_loss': <tf.Tensor: shape=(), dtype=float32, numpy=4.169871>}
{'batch_loss': <tf.Tensor: shape=(), dtype=float32, numpy=4.139249>}
{'batch_loss': <tf.Tensor: shape=(), dtype=float32, numpy=4.0410743>}
{'batch_loss': <tf.Tensor: shape=(), dtype=float32, numpy=3.9664454>}
{'batch_loss': <tf.Tensor: shape=(), dtype=float32, numpy=3.895707>}
{'batch_loss': <tf.Tensor: shape=(), dtype=float32, numpy=3.8154407>}
{'batch_loss': <tf.Tensor: shape=(), dtype=float32, numpy=3.7583396>}
{'batch_loss': <tf.Tensor: shape=(), dtype=float32, numpy=3.6986444>}
{'batch_loss': <tf.Tensor: shape=(), dtype=float32, numpy=3.640298>}

CPU times: user 4.4 s, sys: 960 ms, total: 5.36 s
Wall time: 1.67 s

בדיקה טובה של דגם חדש היא לראות שהוא יכול להתאים יתר על המידה לקבוצת קלט בודדת. נסה את זה, ההפסד אמור להגיע במהירות לאפס:

losses = []
for n in range(100):
  print('.', end='')
  logs = translator.train_step([example_input_batch, example_target_batch])
  losses.append(logs['batch_loss'].numpy())

print()
plt.plot(losses)
....................................................................................................
[<matplotlib.lines.Line2D at 0x7fb427edf210>]

png

עכשיו כשאתה בטוח ששלב האימון עובד, בנה עותק חדש של המודל כדי לאמן מאפס:

train_translator = TrainTranslator(
    embedding_dim, units,
    input_text_processor=input_text_processor,
    output_text_processor=output_text_processor)

# Configure the loss and optimizer
train_translator.compile(
    optimizer=tf.optimizers.Adam(),
    loss=MaskedLoss(),
)

אימון הדגם

אמנם יש לא בסדר כלום עם כתיבת לולאה אימונים מותאמת אישית משלך, יישום Model.train_step השיטה, כמו בסעיף הקודם, מאפשר לך להפעיל Model.fit ולהימנע שכתוב כל כך קוד דוד-צלחת.

הדרכה זו רק רכבות במשך כמה תקופות, כך להשתמש callbacks.Callback לאסוף את ההיסטוריה של הפסדים יצוו, עבור התוויה:

class BatchLogs(tf.keras.callbacks.Callback):
  def __init__(self, key):
    self.key = key
    self.logs = []

  def on_train_batch_end(self, n, logs):
    self.logs.append(logs[self.key])

batch_loss = BatchLogs('batch_loss')
train_translator.fit(dataset, epochs=3,
                     callbacks=[batch_loss])
Epoch 1/3
2021-12-04 12:10:11.617839: E tensorflow/core/grappler/optimizers/meta_optimizer.cc:812] function_optimizer failed: INVALID_ARGUMENT: Input 6 of node StatefulPartitionedCall/gradient_tape/while/while_grad/body/_589/gradient_tape/while/gradients/while/decoder_2/gru_5/PartitionedCall_grad/PartitionedCall was passed variant from StatefulPartitionedCall/gradient_tape/while/while_grad/body/_589/gradient_tape/while/gradients/while/decoder_2/gru_5/PartitionedCall_grad/TensorListPopBack_2:1 incompatible with expected float.
2021-12-04 12:10:11.737105: E tensorflow/core/grappler/optimizers/meta_optimizer.cc:812] layout failed: OUT_OF_RANGE: src_output = 25, but num_outputs is only 25
2021-12-04 12:10:11.855054: E tensorflow/core/grappler/optimizers/meta_optimizer.cc:812] tfg_optimizer{} failed: INVALID_ARGUMENT: Input 6 of node StatefulPartitionedCall/gradient_tape/while/while_grad/body/_589/gradient_tape/while/gradients/while/decoder_2/gru_5/PartitionedCall_grad/PartitionedCall was passed variant from StatefulPartitionedCall/gradient_tape/while/while_grad/body/_589/gradient_tape/while/gradients/while/decoder_2/gru_5/PartitionedCall_grad/TensorListPopBack_2:1 incompatible with expected float.
    when importing GraphDef to MLIR module in GrapplerHook
2021-12-04 12:10:11.878896: E tensorflow/core/grappler/optimizers/meta_optimizer.cc:812] function_optimizer failed: INVALID_ARGUMENT: Input 6 of node StatefulPartitionedCall/gradient_tape/while/while_grad/body/_589/gradient_tape/while/gradients/while/decoder_2/gru_5/PartitionedCall_grad/PartitionedCall was passed variant from StatefulPartitionedCall/gradient_tape/while/while_grad/body/_589/gradient_tape/while/gradients/while/decoder_2/gru_5/PartitionedCall_grad/TensorListPopBack_2:1 incompatible with expected float.
2021-12-04 12:10:12.004755: W tensorflow/core/common_runtime/process_function_library_runtime.cc:866] Ignoring multi-device function optimization failure: INVALID_ARGUMENT: Input 1 of node StatefulPartitionedCall/while/body/_59/while/TensorListPushBack_56 was passed float from StatefulPartitionedCall/while/body/_59/while/decoder_2/gru_5/PartitionedCall:6 incompatible with expected variant.
1859/1859 [==============================] - 349s 185ms/step - batch_loss: 2.0443
Epoch 2/3
1859/1859 [==============================] - 350s 188ms/step - batch_loss: 1.0382
Epoch 3/3
1859/1859 [==============================] - 343s 184ms/step - batch_loss: 0.8085
<keras.callbacks.History at 0x7fb42c3eda10>
plt.plot(batch_loss.logs)
plt.ylim([0, 3])
plt.xlabel('Batch #')
plt.ylabel('CE/token')
Text(0, 0.5, 'CE/token')

png

הקפיצות הנראות בעלילה הן בגבולות העידן.

לתרגם

עכשיו כי המודל הוא אימן, ליישם פונקציה לבצע את מלוא text => text התרגום.

לשם כך על הצרכים מודל כדי להפוך את text => token IDs מיפוי שמספקת output_text_processor . זה גם צריך לדעת את המזהים של אסימונים מיוחדים. כל זה מיושם בקונסטרוקטור עבור המחלקה החדשה. יישום שיטת התרגום בפועל יבוא בהמשך.

בסך הכל זה דומה ללולאת האימון, אלא שהקלט למפענח בכל שלב זמן הוא דגימה מהתחזית האחרונה של המפענח.

class Translator(tf.Module):

  def __init__(self, encoder, decoder, input_text_processor,
               output_text_processor):
    self.encoder = encoder
    self.decoder = decoder
    self.input_text_processor = input_text_processor
    self.output_text_processor = output_text_processor

    self.output_token_string_from_index = (
        tf.keras.layers.StringLookup(
            vocabulary=output_text_processor.get_vocabulary(),
            mask_token='',
            invert=True))

    # The output should never generate padding, unknown, or start.
    index_from_string = tf.keras.layers.StringLookup(
        vocabulary=output_text_processor.get_vocabulary(), mask_token='')
    token_mask_ids = index_from_string(['', '[UNK]', '[START]']).numpy()

    token_mask = np.zeros([index_from_string.vocabulary_size()], dtype=np.bool)
    token_mask[np.array(token_mask_ids)] = True
    self.token_mask = token_mask

    self.start_token = index_from_string(tf.constant('[START]'))
    self.end_token = index_from_string(tf.constant('[END]'))
translator = Translator(
    encoder=train_translator.encoder,
    decoder=train_translator.decoder,
    input_text_processor=input_text_processor,
    output_text_processor=output_text_processor,
)
/tmpfs/src/tf_docs_env/lib/python3.7/site-packages/ipykernel_launcher.py:21: DeprecationWarning: `np.bool` is a deprecated alias for the builtin `bool`. To silence this warning, use `bool` by itself. Doing this will not modify any behavior and is safe. If you specifically wanted the numpy scalar type, use `np.bool_` here.
Deprecated in NumPy 1.20; for more details and guidance: https://numpy.org/devdocs/release/1.20.0-notes.html#deprecations

המר מזהי אסימון לטקסט

השיטה הראשונה ליישם היא tokens_to_text אשר ממיר מזיהוי אסימון הטקסט קריא.

def tokens_to_text(self, result_tokens):
  shape_checker = ShapeChecker()
  shape_checker(result_tokens, ('batch', 't'))
  result_text_tokens = self.output_token_string_from_index(result_tokens)
  shape_checker(result_text_tokens, ('batch', 't'))

  result_text = tf.strings.reduce_join(result_text_tokens,
                                       axis=1, separator=' ')
  shape_checker(result_text, ('batch'))

  result_text = tf.strings.strip(result_text)
  shape_checker(result_text, ('batch',))
  return result_text
Translator.tokens_to_text = tokens_to_text

הזן כמה מזהי אסימון אקראיים וראה מה זה מייצר:

example_output_tokens = tf.random.uniform(
    shape=[5, 2], minval=0, dtype=tf.int64,
    maxval=output_text_processor.vocabulary_size())
translator.tokens_to_text(example_output_tokens).numpy()
array([b'vain mysteries', b'funny ham', b'drivers responding',
       b'mysterious ignoring', b'fashion votes'], dtype=object)

דוגמה מהתחזיות של המפענח

פונקציה זו לוקחת את יציאות הלוגיט של המפענח ודוגמת מזהי אסימון מאותה הפצה:

def sample(self, logits, temperature):
  shape_checker = ShapeChecker()
  # 't' is usually 1 here.
  shape_checker(logits, ('batch', 't', 'vocab'))
  shape_checker(self.token_mask, ('vocab',))

  token_mask = self.token_mask[tf.newaxis, tf.newaxis, :]
  shape_checker(token_mask, ('batch', 't', 'vocab'), broadcast=True)

  # Set the logits for all masked tokens to -inf, so they are never chosen.
  logits = tf.where(self.token_mask, -np.inf, logits)

  if temperature == 0.0:
    new_tokens = tf.argmax(logits, axis=-1)
  else: 
    logits = tf.squeeze(logits, axis=1)
    new_tokens = tf.random.categorical(logits/temperature,
                                        num_samples=1)

  shape_checker(new_tokens, ('batch', 't'))

  return new_tokens
Translator.sample = sample

נסה להפעיל את הפונקציה הזו בכמה כניסות אקראיות:

example_logits = tf.random.normal([5, 1, output_text_processor.vocabulary_size()])
example_output_tokens = translator.sample(example_logits, temperature=1.0)
example_output_tokens
<tf.Tensor: shape=(5, 1), dtype=int64, numpy=
array([[4506],
       [3577],
       [2961],
       [4586],
       [ 944]])>

יישם את לולאת התרגום

הנה יישום מלא של לולאת תרגום טקסט לטקסט.

יישום זה אוסף את התוצאות לתוך רשימות Python, לפני השימוש tf.concat לצרף אותם tensors.

יישום זה באופן סטטי unrolls הגרף החוצה max_length חזרות. זה בסדר עם ביצוע להוט בפיתון.

def translate_unrolled(self,
                       input_text, *,
                       max_length=50,
                       return_attention=True,
                       temperature=1.0):
  batch_size = tf.shape(input_text)[0]
  input_tokens = self.input_text_processor(input_text)
  enc_output, enc_state = self.encoder(input_tokens)

  dec_state = enc_state
  new_tokens = tf.fill([batch_size, 1], self.start_token)

  result_tokens = []
  attention = []
  done = tf.zeros([batch_size, 1], dtype=tf.bool)

  for _ in range(max_length):
    dec_input = DecoderInput(new_tokens=new_tokens,
                             enc_output=enc_output,
                             mask=(input_tokens!=0))

    dec_result, dec_state = self.decoder(dec_input, state=dec_state)

    attention.append(dec_result.attention_weights)

    new_tokens = self.sample(dec_result.logits, temperature)

    # If a sequence produces an `end_token`, set it `done`
    done = done | (new_tokens == self.end_token)
    # Once a sequence is done it only produces 0-padding.
    new_tokens = tf.where(done, tf.constant(0, dtype=tf.int64), new_tokens)

    # Collect the generated tokens
    result_tokens.append(new_tokens)

    if tf.executing_eagerly() and tf.reduce_all(done):
      break

  # Convert the list of generates token ids to a list of strings.
  result_tokens = tf.concat(result_tokens, axis=-1)
  result_text = self.tokens_to_text(result_tokens)

  if return_attention:
    attention_stack = tf.concat(attention, axis=1)
    return {'text': result_text, 'attention': attention_stack}
  else:
    return {'text': result_text}
Translator.translate = translate_unrolled

הפעל אותו על קלט פשוט:

%%time
input_text = tf.constant([
    'hace mucho frio aqui.', # "It's really cold here."
    'Esta es mi vida.', # "This is my life.""
])

result = translator.translate(
    input_text = input_text)

print(result['text'][0].numpy().decode())
print(result['text'][1].numpy().decode())
print()
its a long cold here .
this is my life .

CPU times: user 165 ms, sys: 4.37 ms, total: 169 ms
Wall time: 164 ms

אם אתה רוצה לייצא את המודל הזה תצטרך לעטוף השיטה הזאת tf.function . ליישום הבסיסי הזה יש כמה בעיות אם תנסה לעשות זאת:

  1. הגרפים המתקבלים גדולים מאוד ולוקח כמה שניות לבנות, לשמור או לטעון.
  2. אתה לא יכול לשבור מן לולאה גלול סטטי, אז זה תמיד יפעל max_length חזרות, אפילו אם כול תפוקות נעשות. אבל גם אז זה מהיר יותר במעט מביצוע להוט.
@tf.function(input_signature=[tf.TensorSpec(dtype=tf.string, shape=[None])])
def tf_translate(self, input_text):
  return self.translate(input_text)

Translator.tf_translate = tf_translate

הפעל את tf.function פעם להדר אותו:

%%time
result = translator.tf_translate(
    input_text = input_text)
CPU times: user 18.8 s, sys: 0 ns, total: 18.8 s
Wall time: 18.7 s
%%time
result = translator.tf_translate(
    input_text = input_text)

print(result['text'][0].numpy().decode())
print(result['text'][1].numpy().decode())
print()
its very cold here .
this is my life .

CPU times: user 175 ms, sys: 0 ns, total: 175 ms
Wall time: 88 ms

[אופציונלי] השתמש בלולאה סמלית

Translator.translate = translate_symbolic

היישום הראשוני השתמש ברשימות פיתון כדי לאסוף את הפלטים. שימושים זה tf.range כמו iterator לולאה, המאפשר tf.autograph להמיר את הלולאה. השינוי הגדול ביותר ביישום זה הוא השימוש tf.TensorArray במקום פיתון list כדי tensors לצבור. tf.TensorArray נדרש לאסוף מספר משתנה של טנזורים במצב הגרף.

עם ביצוע נלהב יישום זה מתפקד בדומה למקור:

%%time
result = translator.translate(
    input_text = input_text)

print(result['text'][0].numpy().decode())
print(result['text'][1].numpy().decode())
print()
its very cold here .
this is my life .

CPU times: user 175 ms, sys: 0 ns, total: 175 ms
Wall time: 170 ms

אבל כאשר אתה לעטוף אותו tf.function תבחין שני הבדלים.

@tf.function(input_signature=[tf.TensorSpec(dtype=tf.string, shape=[None])])
def tf_translate(self, input_text):
  return self.translate(input_text)

Translator.tf_translate = tf_translate

ראשית: יצירת גרף הוא הרבה יותר מהר (~ 10x), שכן הוא אינו יוצר max_iterations עותקים של המודל.

%%time
result = translator.tf_translate(
    input_text = input_text)
CPU times: user 1.79 s, sys: 0 ns, total: 1.79 s
Wall time: 1.77 s

שנית: פונקציית הקומפילציה מהירה הרבה יותר בכניסות קטנות (פי 5 בדוגמה זו), מכיוון שהיא יכולה לפרוץ מהלולאה.

%%time
result = translator.tf_translate(
    input_text = input_text)

print(result['text'][0].numpy().decode())
print(result['text'][1].numpy().decode())
print()
its very cold here .
this is my life .

CPU times: user 40.1 ms, sys: 0 ns, total: 40.1 ms
Wall time: 17.1 ms

דמיינו את התהליך

משקלות התשומה חזרו ידי translate להראות השיטה שבה המודל היה "מחפשים" כשזה שנוצר כול אסימון פלט.

אז סכום הקשב מעל הקלט צריך להחזיר את כולם:

a = result['attention'][0]

print(np.sum(a, axis=-1))
[1.0000001  0.99999994 1.         0.99999994 1.         0.99999994]

הנה התפלגות הקשב עבור שלב הפלט הראשון של הדוגמה הראשונה. שימו לב איך תשומת הלב עכשיו הרבה יותר ממוקדת ממה שהייתה עבור הדגם הלא מאומן:

_ = plt.bar(range(len(a[0, :])), a[0, :])

png

מכיוון שיש יישור גס בין מילות הקלט והפלט, אתה מצפה שתשומת הלב תהיה ממוקדת ליד האלכסון:

plt.imshow(np.array(a), vmin=0.0)
<matplotlib.image.AxesImage at 0x7faf2886ced0>

png

הנה קצת קוד כדי ליצור עלילת תשומת לב טובה יותר:

עלילות תשומת לב מסומנות

i=0
plot_attention(result['attention'][i], input_text[i], result['text'][i])
/tmpfs/src/tf_docs_env/lib/python3.7/site-packages/ipykernel_launcher.py:14: UserWarning: FixedFormatter should only be used together with FixedLocator
  
/tmpfs/src/tf_docs_env/lib/python3.7/site-packages/ipykernel_launcher.py:15: UserWarning: FixedFormatter should only be used together with FixedLocator
  from ipykernel import kernelapp as app

png

תרגם עוד כמה משפטים והתווה אותם:

%%time
three_input_text = tf.constant([
    # This is my life.
    'Esta es mi vida.',
    # Are they still home?
    '¿Todavía están en casa?',
    # Try to find out.'
    'Tratar de descubrir.',
])

result = translator.tf_translate(three_input_text)

for tr in result['text']:
  print(tr.numpy().decode())

print()
this is my life .
are you still at home ?
all about killed .

CPU times: user 78 ms, sys: 23 ms, total: 101 ms
Wall time: 23.1 ms
result['text']
<tf.Tensor: shape=(3,), dtype=string, numpy=
array([b'this is my life .', b'are you still at home ?',
       b'all about killed .'], dtype=object)>
i = 0
plot_attention(result['attention'][i], three_input_text[i], result['text'][i])
/tmpfs/src/tf_docs_env/lib/python3.7/site-packages/ipykernel_launcher.py:14: UserWarning: FixedFormatter should only be used together with FixedLocator
  
/tmpfs/src/tf_docs_env/lib/python3.7/site-packages/ipykernel_launcher.py:15: UserWarning: FixedFormatter should only be used together with FixedLocator
  from ipykernel import kernelapp as app

png

i = 1
plot_attention(result['attention'][i], three_input_text[i], result['text'][i])
/tmpfs/src/tf_docs_env/lib/python3.7/site-packages/ipykernel_launcher.py:14: UserWarning: FixedFormatter should only be used together with FixedLocator
  
/tmpfs/src/tf_docs_env/lib/python3.7/site-packages/ipykernel_launcher.py:15: UserWarning: FixedFormatter should only be used together with FixedLocator
  from ipykernel import kernelapp as app

png

i = 2
plot_attention(result['attention'][i], three_input_text[i], result['text'][i])
/tmpfs/src/tf_docs_env/lib/python3.7/site-packages/ipykernel_launcher.py:14: UserWarning: FixedFormatter should only be used together with FixedLocator
  
/tmpfs/src/tf_docs_env/lib/python3.7/site-packages/ipykernel_launcher.py:15: UserWarning: FixedFormatter should only be used together with FixedLocator
  from ipykernel import kernelapp as app

png

המשפטים הקצרים לרוב עובדים היטב, אבל אם הקלט ארוך מדי המודל ממש מאבד מיקוד ומפסיק לספק תחזיות סבירות. יש לכך שתי סיבות עיקריות:

  1. המודל הוכשר עם האכלה של מורה בכוח האסימון הנכון בכל שלב, ללא קשר לתחזיות המודל. ניתן היה להפוך את המודל לחזק יותר אם הוא היה ניזון לפעמים מהתחזיות שלו.
  2. לדגם יש גישה רק לפלט הקודם שלו דרך מצב RNN. אם מדינת ה-RNN תושחת, אין דרך לדגם להתאושש. רובוטריקים לפתור זאת על ידי שימוש עצמי תשומה בתוך קודאי ו מפענח.
long_input_text = tf.constant([inp[-1]])

import textwrap
print('Expected output:\n', '\n'.join(textwrap.wrap(targ[-1])))
Expected output:
 If you want to sound like a native speaker, you must be willing to
practice saying the same sentence over and over in the same way that
banjo players practice the same phrase over and over until they can
play it correctly and at the desired tempo.
result = translator.tf_translate(long_input_text)

i = 0
plot_attention(result['attention'][i], long_input_text[i], result['text'][i])
_ = plt.suptitle('This never works')
/tmpfs/src/tf_docs_env/lib/python3.7/site-packages/ipykernel_launcher.py:14: UserWarning: FixedFormatter should only be used together with FixedLocator
  
/tmpfs/src/tf_docs_env/lib/python3.7/site-packages/ipykernel_launcher.py:15: UserWarning: FixedFormatter should only be used together with FixedLocator
  from ipykernel import kernelapp as app

png

יְצוּא

ברגע שיש לך מודל אתה מרוצה ייתכן שתרצה לייצא אותו בתור tf.saved_model לשימוש מחוץ תוכנית פייתון זה שיצר אותו.

מאז המודל הוא תת מחלקה של tf.Module (דרך keras.Model ), וכל פונקציונליות לייצוא נערך בבית tf.function המודל צריך לייצא למשעי עם tf.saved_model.save :

עכשיו שהפונקציה כבר איתר אותו ניתן לייצא באמצעות saved_model.save :

tf.saved_model.save(translator, 'translator',
                    signatures={'serving_default': translator.tf_translate})
2021-12-04 12:27:54.310890: W tensorflow/python/util/util.cc:368] Sets are not currently considered sequences, but this may change in the future, so consider avoiding using them.
WARNING:absl:Found untraced functions such as encoder_2_layer_call_fn, encoder_2_layer_call_and_return_conditional_losses, decoder_2_layer_call_fn, decoder_2_layer_call_and_return_conditional_losses, embedding_4_layer_call_fn while saving (showing 5 of 60). These functions will not be directly callable after loading.
INFO:tensorflow:Assets written to: translator/assets
INFO:tensorflow:Assets written to: translator/assets
reloaded = tf.saved_model.load('translator')
result = reloaded.tf_translate(three_input_text)
%%time
result = reloaded.tf_translate(three_input_text)

for tr in result['text']:
  print(tr.numpy().decode())

print()
this is my life .
are you still at home ?
find out about to find out .

CPU times: user 42.8 ms, sys: 7.69 ms, total: 50.5 ms
Wall time: 20 ms

הצעדים הבאים

  • הורד במערך שונה לניסוי עם תרגומים, למשל, אנגלית גרמנית, או אנגלית לצרפתית.
  • נסה עם אימון על מערך נתונים גדול יותר, או שימוש בתקופות רבות יותר.
  • נסה את שנאי הדרכה אשר מיישמת משימת תרגום דומה אך משתמשת שכבות שנאי במקום RNNs. גרסה זו גם משתמשת text.BertTokenizer ליישם tokenization wordpiece.
  • יש להסתכל על tensorflow_addons.seq2seq ליישום זה סוג של רצף מודל הרצף. tfa.seq2seq החבילה כוללת פונקציונליות ברמה גבוהה כמו seq2seq.BeamSearchDecoder .