Ver en TensorFlow.org | Ejecutar en Google Colab | Ver en GitHub | Descargar cuaderno | Ver modelo TF Hub |
Este Colab demuestra el uso de un módulo TF Hub basado en una red generativa adversaria (GAN). El módulo mapea desde vectores N-dimensionales, llamados espacio latente, a imágenes RGB.
Se proporcionan dos ejemplos:
- Mapear desde el espacio latente para imágenes y
- Dada una imagen de destino, mediante el descenso de gradiente para encontrar un vector latente que genera una imagen similar a la imagen de destino.
Requisitos previos opcionales
- La familiaridad con conceptos Tensorflow bajo nivel .
- Generativa Red Acusatorio en la Wikipedia.
- Documento sobre el Progreso de las GAN: Progresivo Cultivo de las GAN para mejorar la calidad, estabilidad y Variación .
Más modelos
Aquí puede encontrar todos los modelos actualmente alojados en tfhub.dev que puede generar imágenes.
Configuración
# Install imageio for creating animations.pip -q install imageiopip -q install scikit-imagepip install git+https://github.com/tensorflow/docs
Importaciones y definiciones de funciones
from absl import logging
import imageio
import PIL.Image
import matplotlib.pyplot as plt
import numpy as np
import tensorflow as tf
tf.random.set_seed(0)
import tensorflow_hub as hub
from tensorflow_docs.vis import embed
import time
try:
from google.colab import files
except ImportError:
pass
from IPython import display
from skimage import transform
# We could retrieve this value from module.get_input_shapes() if we didn't know
# beforehand which module we will be using.
latent_dim = 512
# Interpolates between two vectors that are non-zero and don't both lie on a
# line going through origin. First normalizes v2 to have the same norm as v1.
# Then interpolates between the two vectors on the hypersphere.
def interpolate_hypersphere(v1, v2, num_steps):
v1_norm = tf.norm(v1)
v2_norm = tf.norm(v2)
v2_normalized = v2 * (v1_norm / v2_norm)
vectors = []
for step in range(num_steps):
interpolated = v1 + (v2_normalized - v1) * step / (num_steps - 1)
interpolated_norm = tf.norm(interpolated)
interpolated_normalized = interpolated * (v1_norm / interpolated_norm)
vectors.append(interpolated_normalized)
return tf.stack(vectors)
# Simple way to display an image.
def display_image(image):
image = tf.constant(image)
image = tf.image.convert_image_dtype(image, tf.uint8)
return PIL.Image.fromarray(image.numpy())
# Given a set of images, show an animation.
def animate(images):
images = np.array(images)
converted_images = np.clip(images * 255, 0, 255).astype(np.uint8)
imageio.mimsave('./animation.gif', converted_images)
return embed.embed_file('./animation.gif')
logging.set_verbosity(logging.ERROR)
Interpolación de espacio latente
Vectores aleatorios
Interpolación del espacio latente entre dos vectores inicializados aleatoriamente. Vamos a utilizar un módulo TF Hub PROGAN-128 que contiene una GAN progresivo pre-formados.
progan = hub.load("https://tfhub.dev/google/progan-128/1").signatures['default']
def interpolate_between_vectors():
v1 = tf.random.normal([latent_dim])
v2 = tf.random.normal([latent_dim])
# Creates a tensor with 25 steps of interpolation between v1 and v2.
vectors = interpolate_hypersphere(v1, v2, 50)
# Uses module to generate images from the latent space.
interpolated_images = progan(vectors)['default']
return interpolated_images
interpolated_images = interpolate_between_vectors()
animate(interpolated_images)

Encontrar el vector más cercano en el espacio latente
Corrija una imagen de destino. Como ejemplo, use una imagen generada a partir del módulo o cargue la suya propia.
image_from_module_space = True # @param { isTemplate:true, type:"boolean" }
def get_module_space_image():
vector = tf.random.normal([1, latent_dim])
images = progan(vector)['default'][0]
return images
def upload_image():
uploaded = files.upload()
image = imageio.imread(uploaded[list(uploaded.keys())[0]])
return transform.resize(image, [128, 128])
if image_from_module_space:
target_image = get_module_space_image()
else:
target_image = upload_image()
display_image(target_image)

Después de definir una función de pérdida entre la imagen de destino y la imagen generada por una variable de espacio latente, podemos usar el descenso de gradiente para encontrar valores de variable que minimicen la pérdida.
tf.random.set_seed(42)
initial_vector = tf.random.normal([1, latent_dim])
display_image(progan(initial_vector)['default'][0])

def find_closest_latent_vector(initial_vector, num_optimization_steps,
steps_per_image):
images = []
losses = []
vector = tf.Variable(initial_vector)
optimizer = tf.optimizers.Adam(learning_rate=0.01)
loss_fn = tf.losses.MeanAbsoluteError(reduction="sum")
for step in range(num_optimization_steps):
if (step % 100)==0:
print()
print('.', end='')
with tf.GradientTape() as tape:
image = progan(vector.read_value())['default'][0]
if (step % steps_per_image) == 0:
images.append(image.numpy())
target_image_difference = loss_fn(image, target_image[:,:,:3])
# The latent vectors were sampled from a normal distribution. We can get
# more realistic images if we regularize the length of the latent vector to
# the average length of vector from this distribution.
regularizer = tf.abs(tf.norm(vector) - np.sqrt(latent_dim))
loss = target_image_difference + regularizer
losses.append(loss.numpy())
grads = tape.gradient(loss, [vector])
optimizer.apply_gradients(zip(grads, [vector]))
return images, losses
num_optimization_steps=200
steps_per_image=5
images, loss = find_closest_latent_vector(initial_vector, num_optimization_steps, steps_per_image)
.................................................................................................... ....................................................................................................
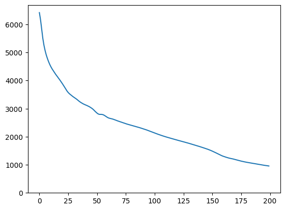
plt.plot(loss)
plt.ylim([0,max(plt.ylim())])
(0.0, 6696.301751708985)

animate(np.stack(images))

Compare el resultado con el objetivo:
display_image(np.concatenate([images[-1], target_image], axis=1))

Jugando con el ejemplo anterior
Si la imagen es del espacio del módulo, el descenso es rápido y converge a una muestra razonable. Pruebe descendiendo a una imagen que no es desde el espacio de módulo. El descenso solo convergerá si la imagen está razonablemente cerca del espacio de las imágenes de entrenamiento.
¿Cómo hacer que descienda más rápido y hacia una imagen más realista? Uno puede intentar:
- usando una pérdida diferente en la diferencia de imagen, por ejemplo, cuadrática,
- usando un regularizador diferente en el vector latente,
- inicializar a partir de un vector aleatorio en múltiples ejecuciones,
- etc.
Ver en TensorFlow.org
Ejecutar en Google Colab
Ver en GitHub
Descargar cuaderno
Ver modelo TF Hub