CelebA Aşamalı GAN Modeli ile Yapay Yüzler Oluşturun

TensorFlow.org'da görüntüleyin Google Colab'da çalıştırın GitHub'da görüntüle Not defterini indir TF Hub modeline bakın

Bu İşbirliği, bir üretici hasım ağına (GAN) dayalı bir TF Hub modülünün kullanımını gösterir. Modül, gizli uzay olarak adlandırılan N boyutlu vektörlerden RGB görüntülerine eşlenir.

İki örnek verilmiştir:

  • Resimlere gizli uzaydan Haritalama ve
  • Hedef görüntü benzer bir görüntü üreten bir gizli vektör bulmak için gradyan kullanılarak, bir hedef resim verilen.

İsteğe bağlı ön koşullar

Daha fazla model

Burada şu anda üzerinde barındırılan tüm modeller bulabilirsiniz tfhub.dev görüntüleri üretebilir.

Kurmak

# Install imageio for creating animations.
pip -q install imageio
pip -q install scikit-image
pip install git+https://github.com/tensorflow/docs

İthalat ve fonksiyon tanımları

from absl import logging

import imageio
import PIL.Image
import matplotlib.pyplot as plt
import numpy as np

import tensorflow as tf
tf.random.set_seed(0)

import tensorflow_hub as hub
from tensorflow_docs.vis import embed
import time

try:
  from google.colab import files
except ImportError:
  pass

from IPython import display
from skimage import transform

# We could retrieve this value from module.get_input_shapes() if we didn't know
# beforehand which module we will be using.
latent_dim = 512


# Interpolates between two vectors that are non-zero and don't both lie on a
# line going through origin. First normalizes v2 to have the same norm as v1. 
# Then interpolates between the two vectors on the hypersphere.
def interpolate_hypersphere(v1, v2, num_steps):
  v1_norm = tf.norm(v1)
  v2_norm = tf.norm(v2)
  v2_normalized = v2 * (v1_norm / v2_norm)

  vectors = []
  for step in range(num_steps):
    interpolated = v1 + (v2_normalized - v1) * step / (num_steps - 1)
    interpolated_norm = tf.norm(interpolated)
    interpolated_normalized = interpolated * (v1_norm / interpolated_norm)
    vectors.append(interpolated_normalized)
  return tf.stack(vectors)

# Simple way to display an image.
def display_image(image):
  image = tf.constant(image)
  image = tf.image.convert_image_dtype(image, tf.uint8)
  return PIL.Image.fromarray(image.numpy())

# Given a set of images, show an animation.
def animate(images):
  images = np.array(images)
  converted_images = np.clip(images * 255, 0, 255).astype(np.uint8)
  imageio.mimsave('./animation.gif', converted_images)
  return embed.embed_file('./animation.gif')

logging.set_verbosity(logging.ERROR)

Gizli uzay enterpolasyonu

rastgele vektörler

Rastgele başlatılan iki vektör arasındaki gizli uzay enterpolasyonu. Biz TF Hub modülü kullanacak progan-128 önceden eğitilmiş Aşamalı Gan içerir.

progan = hub.load("https://tfhub.dev/google/progan-128/1").signatures['default']
def interpolate_between_vectors():
  v1 = tf.random.normal([latent_dim])
  v2 = tf.random.normal([latent_dim])

  # Creates a tensor with 25 steps of interpolation between v1 and v2.
  vectors = interpolate_hypersphere(v1, v2, 50)

  # Uses module to generate images from the latent space.
  interpolated_images = progan(vectors)['default']

  return interpolated_images

interpolated_images = interpolate_between_vectors()
animate(interpolated_images)

gif

Gizli uzayda en yakın vektörü bulma

Bir hedef görüntüyü düzeltin. Örnek olarak, modülden oluşturulan bir resmi kullanın veya kendinizinkini yükleyin.

image_from_module_space = True  # @param { isTemplate:true, type:"boolean" }

def get_module_space_image():
  vector = tf.random.normal([1, latent_dim])
  images = progan(vector)['default'][0]
  return images

def upload_image():
  uploaded = files.upload()
  image = imageio.imread(uploaded[list(uploaded.keys())[0]])
  return transform.resize(image, [128, 128])

if image_from_module_space:
  target_image = get_module_space_image()
else:
  target_image = upload_image()

display_image(target_image)

png

Hedef görüntü ile gizli uzay değişkeni tarafından oluşturulan görüntü arasında bir kayıp fonksiyonu tanımladıktan sonra, kaybı en aza indiren değişken değerleri bulmak için gradyan inişini kullanabiliriz.

tf.random.set_seed(42)
initial_vector = tf.random.normal([1, latent_dim])
display_image(progan(initial_vector)['default'][0])

png

def find_closest_latent_vector(initial_vector, num_optimization_steps,
                               steps_per_image):
  images = []
  losses = []

  vector = tf.Variable(initial_vector)  
  optimizer = tf.optimizers.Adam(learning_rate=0.01)
  loss_fn = tf.losses.MeanAbsoluteError(reduction="sum")

  for step in range(num_optimization_steps):
    if (step % 100)==0:
      print()
    print('.', end='')
    with tf.GradientTape() as tape:
      image = progan(vector.read_value())['default'][0]
      if (step % steps_per_image) == 0:
        images.append(image.numpy())
      target_image_difference = loss_fn(image, target_image[:,:,:3])
      # The latent vectors were sampled from a normal distribution. We can get
      # more realistic images if we regularize the length of the latent vector to 
      # the average length of vector from this distribution.
      regularizer = tf.abs(tf.norm(vector) - np.sqrt(latent_dim))

      loss = target_image_difference + regularizer
      losses.append(loss.numpy())
    grads = tape.gradient(loss, [vector])
    optimizer.apply_gradients(zip(grads, [vector]))

  return images, losses


num_optimization_steps=200
steps_per_image=5
images, loss = find_closest_latent_vector(initial_vector, num_optimization_steps, steps_per_image)
....................................................................................................
....................................................................................................
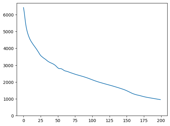
plt.plot(loss)
plt.ylim([0,max(plt.ylim())])
(0.0, 6696.301751708985)

png

animate(np.stack(images))

gif

Sonucu hedefle karşılaştırın:

display_image(np.concatenate([images[-1], target_image], axis=1))

png

Yukarıdaki örnekle oynamak

Görüntü modül uzayından geliyorsa, iniş hızlıdır ve makul bir örneğe yakınsar. Modül uzaydan olmayan bir görüntüye azalan deneyin. İniş, yalnızca görüntü eğitim görüntülerinin alanına makul ölçüde yakınsa yakınsayacaktır.

Daha hızlı ve daha gerçekçi bir görüntüye nasıl iner? Bir deneyebilir:

  • görüntü farkı üzerinde farklı kayıplar kullanarak, örneğin ikinci dereceden,
  • gizli vektör üzerinde farklı düzenleyici kullanarak,
  • birden çok çalışmada rastgele bir vektörden başlatma,
  • vb.