Создавайте искусственные лица с помощью модели CelebA Progressive GAN

Посмотреть на TensorFlow.org Запускаем в Google Colab Посмотреть на GitHub Скачать блокнот См. Модель TF Hub

Этот Colab демонстрирует использование модуля TF Hub на основе генеративной состязательной сети (GAN). Модуль отображает N-мерные векторы, называемые скрытым пространством, в изображения RGB.

Приведены два примера:

  • Отображение от скрытого пространства изображений, а также
  • С учетом целевого изображения, используя градиентный спуск , чтобы найти скрытый вектор , который формирует изображение , аналогичное требуемое изображение.

Необязательные предпосылки

Больше моделей

Здесь вы можете найти все модели в настоящее время размещенных на tfhub.dev , которые могут генерировать изображения.

Настраивать

# Install imageio for creating animations.
pip -q install imageio
pip -q install scikit-image
pip install git+https://github.com/tensorflow/docs

Импорт и определения функций

from absl import logging

import imageio
import PIL.Image
import matplotlib.pyplot as plt
import numpy as np

import tensorflow as tf
tf.random.set_seed(0)

import tensorflow_hub as hub
from tensorflow_docs.vis import embed
import time

try:
  from google.colab import files
except ImportError:
  pass

from IPython import display
from skimage import transform

# We could retrieve this value from module.get_input_shapes() if we didn't know
# beforehand which module we will be using.
latent_dim = 512


# Interpolates between two vectors that are non-zero and don't both lie on a
# line going through origin. First normalizes v2 to have the same norm as v1. 
# Then interpolates between the two vectors on the hypersphere.
def interpolate_hypersphere(v1, v2, num_steps):
  v1_norm = tf.norm(v1)
  v2_norm = tf.norm(v2)
  v2_normalized = v2 * (v1_norm / v2_norm)

  vectors = []
  for step in range(num_steps):
    interpolated = v1 + (v2_normalized - v1) * step / (num_steps - 1)
    interpolated_norm = tf.norm(interpolated)
    interpolated_normalized = interpolated * (v1_norm / interpolated_norm)
    vectors.append(interpolated_normalized)
  return tf.stack(vectors)

# Simple way to display an image.
def display_image(image):
  image = tf.constant(image)
  image = tf.image.convert_image_dtype(image, tf.uint8)
  return PIL.Image.fromarray(image.numpy())

# Given a set of images, show an animation.
def animate(images):
  images = np.array(images)
  converted_images = np.clip(images * 255, 0, 255).astype(np.uint8)
  imageio.mimsave('./animation.gif', converted_images)
  return embed.embed_file('./animation.gif')

logging.set_verbosity(logging.ERROR)

Скрытая пространственная интерполяция

Случайные векторы

Скрытая пространственная интерполяция между двумя случайно инициализированными векторами. Мы будем использовать модуль TF Hub progan-128 , который содержит предварительно подготовленный Progressive ГАН.

progan = hub.load("https://tfhub.dev/google/progan-128/1").signatures['default']
def interpolate_between_vectors():
  v1 = tf.random.normal([latent_dim])
  v2 = tf.random.normal([latent_dim])

  # Creates a tensor with 25 steps of interpolation between v1 and v2.
  vectors = interpolate_hypersphere(v1, v2, 50)

  # Uses module to generate images from the latent space.
  interpolated_images = progan(vectors)['default']

  return interpolated_images

interpolated_images = interpolate_between_vectors()
animate(interpolated_images)

гифка

Поиск ближайшего вектора в скрытом пространстве

Исправьте целевое изображение. В качестве примера используйте изображение, созданное из модуля, или загрузите свое собственное.

image_from_module_space = True  # @param { isTemplate:true, type:"boolean" }

def get_module_space_image():
  vector = tf.random.normal([1, latent_dim])
  images = progan(vector)['default'][0]
  return images

def upload_image():
  uploaded = files.upload()
  image = imageio.imread(uploaded[list(uploaded.keys())[0]])
  return transform.resize(image, [128, 128])

if image_from_module_space:
  target_image = get_module_space_image()
else:
  target_image = upload_image()

display_image(target_image)

PNG

После определения функции потерь между целевым изображением и изображением, созданным переменной скрытого пространства, мы можем использовать градиентный спуск, чтобы найти значения переменных, которые минимизируют потери.

tf.random.set_seed(42)
initial_vector = tf.random.normal([1, latent_dim])
display_image(progan(initial_vector)['default'][0])

PNG

def find_closest_latent_vector(initial_vector, num_optimization_steps,
                               steps_per_image):
  images = []
  losses = []

  vector = tf.Variable(initial_vector)  
  optimizer = tf.optimizers.Adam(learning_rate=0.01)
  loss_fn = tf.losses.MeanAbsoluteError(reduction="sum")

  for step in range(num_optimization_steps):
    if (step % 100)==0:
      print()
    print('.', end='')
    with tf.GradientTape() as tape:
      image = progan(vector.read_value())['default'][0]
      if (step % steps_per_image) == 0:
        images.append(image.numpy())
      target_image_difference = loss_fn(image, target_image[:,:,:3])
      # The latent vectors were sampled from a normal distribution. We can get
      # more realistic images if we regularize the length of the latent vector to 
      # the average length of vector from this distribution.
      regularizer = tf.abs(tf.norm(vector) - np.sqrt(latent_dim))

      loss = target_image_difference + regularizer
      losses.append(loss.numpy())
    grads = tape.gradient(loss, [vector])
    optimizer.apply_gradients(zip(grads, [vector]))

  return images, losses


num_optimization_steps=200
steps_per_image=5
images, loss = find_closest_latent_vector(initial_vector, num_optimization_steps, steps_per_image)
....................................................................................................
....................................................................................................
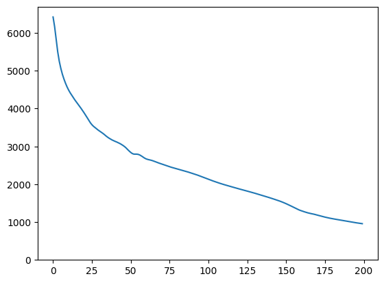
plt.plot(loss)
plt.ylim([0,max(plt.ylim())])
(0.0, 6696.301751708985)

PNG

animate(np.stack(images))

гифка

Сравните результат с заданным:

display_image(np.concatenate([images[-1], target_image], axis=1))

PNG

Играем с приведенным выше примером

Если изображение взято из пространства модуля, спуск происходит быстро и сходится к разумному образцу. Попробуйте спускающийся к изображению, которое не из пространства модулей. Спуск будет сходиться только в том случае, если изображение достаточно близко к пространству обучающих изображений.

Как сделать так, чтобы он спускался быстрее и к более реалистичному изображению? Можно попробовать:

  • используя различные потери на различии изображений, например квадратичные,
  • используя другой регуляризатор на скрытом векторе,
  • инициализация из случайного вектора за несколько запусков,
  • и Т. Д.