Voir sur TensorFlow.org | Exécuter dans Google Colab | Voir la source sur GitHub | Télécharger le cahier |
Ce didacticiel illustre la formation d'un simple réseau de neurones convolutifs (CNN) pour classer les images CIFAR . Étant donné que ce didacticiel utilise l' API séquentielle Keras , la création et la formation de votre modèle ne prendront que quelques lignes de code.
Importer TensorFlow
import tensorflow as tf
from tensorflow.keras import datasets, layers, models
import matplotlib.pyplot as plt
Télécharger et préparer le jeu de données CIFAR10
L'ensemble de données CIFAR10 contient 60 000 images couleur dans 10 classes, avec 6 000 images dans chaque classe. L'ensemble de données est divisé en 50 000 images d'entraînement et 10 000 images de test. Les classes sont mutuellement exclusives et il n'y a pas de chevauchement entre elles.
(train_images, train_labels), (test_images, test_labels) = datasets.cifar10.load_data()
# Normalize pixel values to be between 0 and 1
train_images, test_images = train_images / 255.0, test_images / 255.0
Downloading data from https://www.cs.toronto.edu/~kriz/cifar-10-python.tar.gz 170500096/170498071 [==============================] - 11s 0us/step 170508288/170498071 [==============================] - 11s 0us/step
Vérifier les données
Pour vérifier que l'ensemble de données semble correct, traçons les 25 premières images de l'ensemble d'apprentissage et affichons le nom de la classe sous chaque image :
class_names = ['airplane', 'automobile', 'bird', 'cat', 'deer',
'dog', 'frog', 'horse', 'ship', 'truck']
plt.figure(figsize=(10,10))
for i in range(25):
plt.subplot(5,5,i+1)
plt.xticks([])
plt.yticks([])
plt.grid(False)
plt.imshow(train_images[i])
# The CIFAR labels happen to be arrays,
# which is why you need the extra index
plt.xlabel(class_names[train_labels[i][0]])
plt.show()

Créer la base convolutive
Les 6 lignes de code ci-dessous définissent la base convolutive en utilisant un modèle commun : une pile de couches Conv2D et MaxPooling2D .
En entrée, un CNN prend des tenseurs de forme (image_height, image_width, color_channels), en ignorant la taille du lot. Si vous débutez avec ces dimensions, color_channels fait référence à (R,G,B). Dans cet exemple, vous allez configurer votre CNN pour traiter les entrées de forme (32, 32, 3), qui est le format des images CIFAR. Vous pouvez le faire en passant l'argument input_shape à votre première couche.
model = models.Sequential()
model.add(layers.Conv2D(32, (3, 3), activation='relu', input_shape=(32, 32, 3)))
model.add(layers.MaxPooling2D((2, 2)))
model.add(layers.Conv2D(64, (3, 3), activation='relu'))
model.add(layers.MaxPooling2D((2, 2)))
model.add(layers.Conv2D(64, (3, 3), activation='relu'))
Affichons l'architecture de votre modèle jusqu'à présent :
model.summary()
Model: "sequential"
_________________________________________________________________
Layer (type) Output Shape Param #
=================================================================
conv2d (Conv2D) (None, 30, 30, 32) 896
max_pooling2d (MaxPooling2D (None, 15, 15, 32) 0
)
conv2d_1 (Conv2D) (None, 13, 13, 64) 18496
max_pooling2d_1 (MaxPooling (None, 6, 6, 64) 0
2D)
conv2d_2 (Conv2D) (None, 4, 4, 64) 36928
=================================================================
Total params: 56,320
Trainable params: 56,320
Non-trainable params: 0
_________________________________________________________________
Ci-dessus, vous pouvez voir que la sortie de chaque couche Conv2D et MaxPooling2D est un tenseur 3D de forme (hauteur, largeur, canaux). Les dimensions de largeur et de hauteur ont tendance à diminuer à mesure que vous progressez dans le réseau. Le nombre de canaux de sortie pour chaque couche Conv2D est contrôlé par le premier argument (par exemple, 32 ou 64). En règle générale, à mesure que la largeur et la hauteur diminuent, vous pouvez vous permettre (par calcul) d'ajouter plus de canaux de sortie dans chaque couche Conv2D.
Ajouter des couches denses sur le dessus
Pour compléter le modèle, vous allez alimenter le dernier tenseur de sortie de la base convolutive (de forme (4, 4, 64)) dans une ou plusieurs couches denses pour effectuer la classification. Les couches denses prennent des vecteurs en entrée (qui sont 1D), tandis que la sortie actuelle est un tenseur 3D. Tout d'abord, vous allez aplatir (ou dérouler) la sortie 3D en 1D, puis ajouter un ou plusieurs calques Dense par-dessus. CIFAR a 10 classes de sortie, vous utilisez donc une couche Dense finale avec 10 sorties.
model.add(layers.Flatten())
model.add(layers.Dense(64, activation='relu'))
model.add(layers.Dense(10))
Voici l'architecture complète de votre modèle :
model.summary()
Model: "sequential"
_________________________________________________________________
Layer (type) Output Shape Param #
=================================================================
conv2d (Conv2D) (None, 30, 30, 32) 896
max_pooling2d (MaxPooling2D (None, 15, 15, 32) 0
)
conv2d_1 (Conv2D) (None, 13, 13, 64) 18496
max_pooling2d_1 (MaxPooling (None, 6, 6, 64) 0
2D)
conv2d_2 (Conv2D) (None, 4, 4, 64) 36928
flatten (Flatten) (None, 1024) 0
dense (Dense) (None, 64) 65600
dense_1 (Dense) (None, 10) 650
=================================================================
Total params: 122,570
Trainable params: 122,570
Non-trainable params: 0
_________________________________________________________________
Le résumé du réseau montre que (4, 4, 64) les sorties ont été aplaties en vecteurs de forme (1024) avant de passer par deux couches Dense.
Compiler et entraîner le modèle
model.compile(optimizer='adam',
loss=tf.keras.losses.SparseCategoricalCrossentropy(from_logits=True),
metrics=['accuracy'])
history = model.fit(train_images, train_labels, epochs=10,
validation_data=(test_images, test_labels))
Epoch 1/10 1563/1563 [==============================] - 8s 4ms/step - loss: 1.4971 - accuracy: 0.4553 - val_loss: 1.2659 - val_accuracy: 0.5492 Epoch 2/10 1563/1563 [==============================] - 6s 4ms/step - loss: 1.1424 - accuracy: 0.5966 - val_loss: 1.1025 - val_accuracy: 0.6098 Epoch 3/10 1563/1563 [==============================] - 6s 4ms/step - loss: 0.9885 - accuracy: 0.6539 - val_loss: 0.9557 - val_accuracy: 0.6629 Epoch 4/10 1563/1563 [==============================] - 6s 4ms/step - loss: 0.8932 - accuracy: 0.6878 - val_loss: 0.8924 - val_accuracy: 0.6935 Epoch 5/10 1563/1563 [==============================] - 6s 4ms/step - loss: 0.8222 - accuracy: 0.7130 - val_loss: 0.8679 - val_accuracy: 0.7025 Epoch 6/10 1563/1563 [==============================] - 6s 4ms/step - loss: 0.7663 - accuracy: 0.7323 - val_loss: 0.9336 - val_accuracy: 0.6819 Epoch 7/10 1563/1563 [==============================] - 6s 4ms/step - loss: 0.7224 - accuracy: 0.7466 - val_loss: 0.8546 - val_accuracy: 0.7086 Epoch 8/10 1563/1563 [==============================] - 6s 4ms/step - loss: 0.6726 - accuracy: 0.7611 - val_loss: 0.8777 - val_accuracy: 0.7068 Epoch 9/10 1563/1563 [==============================] - 6s 4ms/step - loss: 0.6372 - accuracy: 0.7760 - val_loss: 0.8410 - val_accuracy: 0.7179 Epoch 10/10 1563/1563 [==============================] - 6s 4ms/step - loss: 0.6024 - accuracy: 0.7875 - val_loss: 0.8475 - val_accuracy: 0.7192
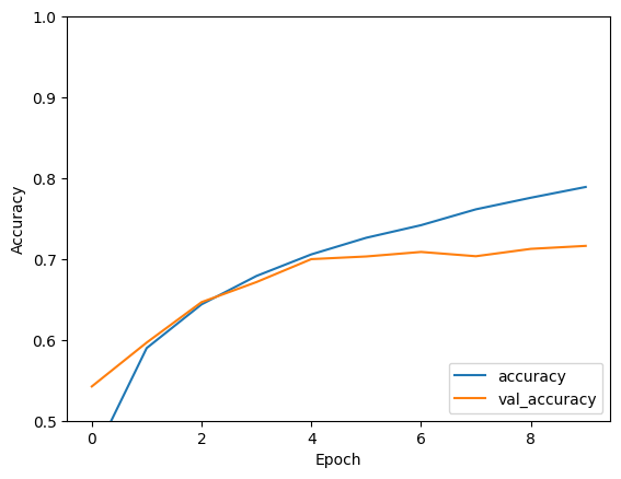
Évaluer le modèle
plt.plot(history.history['accuracy'], label='accuracy')
plt.plot(history.history['val_accuracy'], label = 'val_accuracy')
plt.xlabel('Epoch')
plt.ylabel('Accuracy')
plt.ylim([0.5, 1])
plt.legend(loc='lower right')
test_loss, test_acc = model.evaluate(test_images, test_labels, verbose=2)
313/313 - 1s - loss: 0.8475 - accuracy: 0.7192 - 634ms/epoch - 2ms/step

print(test_acc)
0.7192000150680542
Votre CNN simple a atteint une précision de test de plus de 70 %. Pas mal pour quelques lignes de code ! Pour un autre style CNN, consultez l'exemple de démarrage rapide TensorFlow 2 pour les experts qui utilise l'API de sous-classement Keras et tf.GradientTape .
Voir sur TensorFlow.org
Exécuter dans Google Colab
Voir la source sur GitHub
Télécharger le cahier