Segmentação de Imagem

Ver em TensorFlow.org Executar no Google Colab Ver código fonte no GitHub Baixar notebook

Este tutorial concentra-se na tarefa de segmentação de imagens, usando uma U-Net modificada

O que é segmentação de imagem?

Até agora, você viu a classificação de imagens, em que a tarefa da rede é atribuir um rótulo ou classe a uma imagem de entrada. No entanto, suponha que você queira saber onde um objeto está localizado na imagem, a forma desse objeto, qual pixel pertence a qual objeto etc. Nesse caso, você desejará segmentar a imagem, ou seja, para cada pixel da imagem é dado um rótulo. Assim, a tarefa da segmentação de imagens é treinar uma rede neural para produzir uma máscara da imagem em pixels. Isso ajuda a entender a imagem em um nível muito mais baixo, isto é, o nível de pixel. A segmentação de imagens tem muitas aplicações em imagens médicas, carros autônomos e imagens de satélite, para citar alguns.

O conjunto de dados que será usado para este tutorial é o Oxford-IIIT Pet Dataset, criado por Parkhi et al. O conjunto de dados consiste em imagens, seus rótulos correspondentes e máscaras de pixel. As máscaras são basicamente etiquetas para cada pixel. Cada pixel recebe uma das três categorias:

  • Classe 1: Pixel pertencente ao animal de estimação.
  • Classe 2: Pixel na fronteira do animal de estimação.
  • Classe 3: Nenhuma das opções acima/ Pixel circundante.
pip install -q git+https://github.com/tensorflow/examples.git
try:
  # %tensorflow_version only exists in Colab.
  %tensorflow_version 2.x
except Exception:
  pass
import tensorflow as tf
from __future__ import absolute_import, division, print_function, unicode_literals

from tensorflow_examples.models.pix2pix import pix2pix

import tensorflow_datasets as tfds
tfds.disable_progress_bar()

from IPython.display import clear_output
import matplotlib.pyplot as plt

Baixar o conjunto de dados Oxford-IIIT Pets

O conjunto de dados já está incluído nos conjuntos de dados TensorFlow, basta fazer o download. As máscaras de segmentação estão incluídas na versão 3+.

dataset, info = tfds.load('oxford_iiit_pet:3.*.*', with_info=True)
Downloading and preparing dataset oxford_iiit_pet/3.2.0 (download: 773.52 MiB, generated: 774.69 MiB, total: 1.51 GiB) to /home/kbuilder/tensorflow_datasets/oxford_iiit_pet/3.2.0...
Shuffling and writing examples to /home/kbuilder/tensorflow_datasets/oxford_iiit_pet/3.2.0.incompleteV4OLTD/oxford_iiit_pet-train.tfrecord
Shuffling and writing examples to /home/kbuilder/tensorflow_datasets/oxford_iiit_pet/3.2.0.incompleteV4OLTD/oxford_iiit_pet-test.tfrecord
Dataset oxford_iiit_pet downloaded and prepared to /home/kbuilder/tensorflow_datasets/oxford_iiit_pet/3.2.0. Subsequent calls will reuse this data.

O código a seguir executa um aumento simples de inversão de uma imagem. Além disso, a imagem é normalizada para [0,1]. Finalmente, como mencionado acima, os pixels na máscara de segmentação são rotulados como {1,2,3}. Por uma questão de conveniência, vamos subtrair 1 da máscara de segmentação, resultando em rótulos que são: {0,1,2}.

def normalize(input_image, input_mask):
  input_image = tf.cast(input_image, tf.float32) / 255.0
  input_mask -= 1
  return input_image, input_mask
@tf.function
def load_image_train(datapoint):
  input_image = tf.image.resize(datapoint['image'], (128, 128))
  input_mask = tf.image.resize(datapoint['segmentation_mask'], (128, 128))

  if tf.random.uniform(()) > 0.5:
    input_image = tf.image.flip_left_right(input_image)
    input_mask = tf.image.flip_left_right(input_mask)

  input_image, input_mask = normalize(input_image, input_mask)

  return input_image, input_mask
def load_image_test(datapoint):
  input_image = tf.image.resize(datapoint['image'], (128, 128))
  input_mask = tf.image.resize(datapoint['segmentation_mask'], (128, 128))

  input_image, input_mask = normalize(input_image, input_mask)

  return input_image, input_mask

O conjunto de dados já contém as divisões necessárias de teste e treinamento e, portanto, vamos continuar usando a mesma divisão.

TRAIN_LENGTH = info.splits['train'].num_examples
BATCH_SIZE = 64
BUFFER_SIZE = 1000
STEPS_PER_EPOCH = TRAIN_LENGTH // BATCH_SIZE
train = dataset['train'].map(load_image_train, num_parallel_calls=tf.data.experimental.AUTOTUNE)
test = dataset['test'].map(load_image_test)
train_dataset = train.cache().shuffle(BUFFER_SIZE).batch(BATCH_SIZE).repeat()
train_dataset = train_dataset.prefetch(buffer_size=tf.data.experimental.AUTOTUNE)
test_dataset = test.batch(BATCH_SIZE)

Vamos dar uma olhada em um exemplo de imagem e sua máscara correspondente no conjunto de dados.

def display(display_list):
  plt.figure(figsize=(15, 15))

  title = ['Input Image', 'True Mask', 'Predicted Mask']

  for i in range(len(display_list)):
    plt.subplot(1, len(display_list), i+1)
    plt.title(title[i])
    plt.imshow(tf.keras.preprocessing.image.array_to_img(display_list[i]))
    plt.axis('off')
  plt.show()
for image, mask in train.take(1):
  sample_image, sample_mask = image, mask
display([sample_image, sample_mask])

png

Definir o modelo

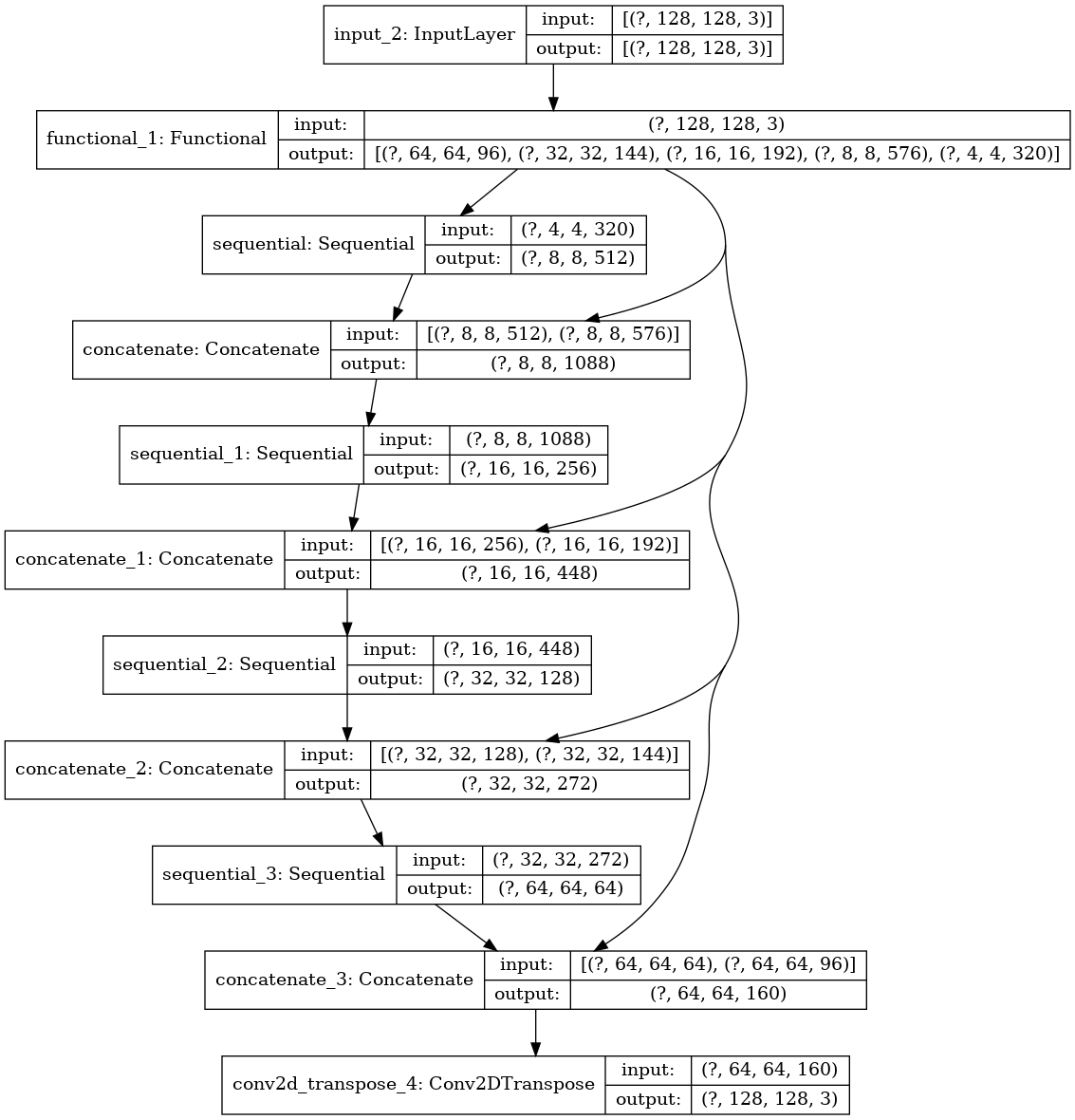
O modelo usado aqui é uma U-Net modificada. Um U-Net consiste em um codificador (downsampler) e decodificador (upsampler). Para aprender características robustas e reduzir o número de parâmetros treináveis, um modelo pré-treinado pode ser usado como codificador. Portanto, o codificador para esta tarefa será um modelo MobileNetV2 pré-treinado, cujas saídas intermediárias serão usadas e o decodificador será o bloco de amostra superior já implementado no TensorFlow Examples no tutorial Pix2pix.

O motivo da saída de três canais é porque existem três rótulos possíveis para cada pixel. Pense nisso como multi-classificação, onde cada pixel está sendo classificado em três classes.

OUTPUT_CHANNELS = 3

Como mencionado, o codificador será um modelo MobileNetV2 pré-treinado, preparado e pronto para uso em tf.keras.applications. O codificador consiste em saídas específicas de camadas intermediárias no modelo. Observe que o codificador não será treinado durante o processo de treinamento.

base_model = tf.keras.applications.MobileNetV2(input_shape=[128, 128, 3], include_top=False)

# Use as ativações dessas camadas
layer_names = [
    'block_1_expand_relu',   # 64x64
    'block_3_expand_relu',   # 32x32
    'block_6_expand_relu',   # 16x16
    'block_13_expand_relu',  # 8x8
    'block_16_project',      # 4x4
]
layers = [base_model.get_layer(name).output for name in layer_names]

# Crie o modelo de extração de características
down_stack = tf.keras.Model(inputs=base_model.input, outputs=layers)

down_stack.trainable = False
Downloading data from https://storage.googleapis.com/tensorflow/keras-applications/mobilenet_v2/mobilenet_v2_weights_tf_dim_ordering_tf_kernels_1.0_128_no_top.h5
9412608/9406464 [==============================] - 0s 0us/step

O decodificador/upsampler é simplesmente uma série de blocos de upsample implementados nos exemplos do TensorFlow.

up_stack = [
    pix2pix.upsample(512, 3),  # 4x4 -> 8x8
    pix2pix.upsample(256, 3),  # 8x8 -> 16x16
    pix2pix.upsample(128, 3),  # 16x16 -> 32x32
    pix2pix.upsample(64, 3),   # 32x32 -> 64x64
]
def unet_model(output_channels):

  # Esta é a última camada do modelo
  last = tf.keras.layers.Conv2DTranspose(
      output_channels, 3, strides=2,
      padding='same', activation='softmax')  #64x64 -> 128x128

  inputs = tf.keras.layers.Input(shape=[128, 128, 3])
  x = inputs

  # Downsampling através do modelo
  skips = down_stack(x)
  x = skips[-1]
  skips = reversed(skips[:-1])

  # Upsampling e estabelecimento das conexões de salto
  for up, skip in zip(up_stack, skips):
    x = up(x)
    concat = tf.keras.layers.Concatenate()
    x = concat([x, skip])

  x = last(x)

  return tf.keras.Model(inputs=inputs, outputs=x)

Treine o modelo

Agora, tudo o que resta a fazer é compilar e treinar o modelo. A perda que está sendo usada aqui é loss.sparse_categorical_crossentropy. O motivo para usar essa função de perda é porque a rede está tentando atribuir a cada pixel um rótulo, assim como a previsão de várias classes. Na verdadeira máscara de segmentação, cada pixel tem um {0,1,2}. A rede aqui está emitindo três canais. Essencialmente, cada canal está tentando aprender a prever uma classe, e loss.sparse_categorical_crossentropy é a perda recomendada para esse cenário. Usando a saída da rede, o rótulo atribuído ao pixel é o canal com o valor mais alto. É isso que a função create_mask está fazendo.

model = unet_model(OUTPUT_CHANNELS)
model.compile(optimizer='adam', loss='sparse_categorical_crossentropy',
              metrics=['accuracy'])

Dê uma olhada rápida na arquitetura do modelo resultante:

tf.keras.utils.plot_model(model, show_shapes=True)

png

Vamos experimentar o modelo para ver o que ele prevê antes do treinamento.

def create_mask(pred_mask):
  pred_mask = tf.argmax(pred_mask, axis=-1)
  pred_mask = pred_mask[..., tf.newaxis]
  return pred_mask[0]
def show_predictions(dataset=None, num=1):
  if dataset:
    for image, mask in dataset.take(num):
      pred_mask = model.predict(image)
      display([image[0], mask[0], create_mask(pred_mask)])
  else:
    display([sample_image, sample_mask,
             create_mask(model.predict(sample_image[tf.newaxis, ...]))])
show_predictions()

png

Vamos observar como o modelo melhora enquanto está treinando. Para realizar essa tarefa, uma função de retorno de chamada é definida abaixo.

class DisplayCallback(tf.keras.callbacks.Callback):
  def on_epoch_end(self, epoch, logs=None):
    clear_output(wait=True)
    show_predictions()
    print ('\nSample Prediction after epoch {}\n'.format(epoch+1))
EPOCHS = 20
VAL_SUBSPLITS = 5
VALIDATION_STEPS = info.splits['test'].num_examples//BATCH_SIZE//VAL_SUBSPLITS

model_history = model.fit(train_dataset, epochs=EPOCHS,
                          steps_per_epoch=STEPS_PER_EPOCH,
                          validation_steps=VALIDATION_STEPS,
                          validation_data=test_dataset,
                          callbacks=[DisplayCallback()])

png

Sample Prediction after epoch 20

57/57 [==============================] - 3s 54ms/step - loss: 0.1339 - accuracy: 0.9389 - val_loss: 0.3331 - val_accuracy: 0.8877
loss = model_history.history['loss']
val_loss = model_history.history['val_loss']

epochs = range(EPOCHS)

plt.figure()
plt.plot(epochs, loss, 'r', label='Training loss')
plt.plot(epochs, val_loss, 'bo', label='Validation loss')
plt.title('Training and Validation Loss')
plt.xlabel('Epoch')
plt.ylabel('Loss Value')
plt.ylim([0, 1])
plt.legend()
plt.show()

png

Fazer Previsões

Vamos fazer algumas previsões. Com o objetivo de economizar tempo, o número de épocas foi pequeno, mas você pode definir isso mais alto para obter resultados mais precisos.

show_predictions(test_dataset, 3)

png

png

png

Próximos passos

Agora que você entende o que é segmentação de imagem e como ela funciona, você pode tentar este tutorial com diferentes saídas de camada intermediária ou até mesmo modelo pré-treinado diferente. Você também pode se desafiar ao experimentar o desafio de mascaramento de imagem Carvana hospedado no Kaggle.

Você também pode querer ver a API de detecção de objetos do Tensorflow para outro modelo que você pode treinar novamente com seus próprios dados.