TensorFlow.org에서 보기
|
구글 코랩(Colab)에서 실행하기
|
깃허브(GitHub) 소스 보기
|
노트북(notebook) 다운로드
|
이 노트북은 스페인어를 영어로 변역하기 위해 시퀀스-투-시퀀스 (seq2seq) 모델을 훈련시킵니다. 또한 이 노트북은 시퀀스-투-시퀀스 모델의 사전적인 지식을 요구하는 심화된 예제입니다.
이 노트북에서 신경망 기계 번역 모델을 훈련하면 "¿todavia estan en casa?"와 같은 스페인 문장을 입력했을 때 "are you still at home?"처럼 영어로 번역된 문장을 얻을 수 있을 것입니다
번역의 질은 간단한 예제로는 타당하지만 시각화된 어텐션 플롯은 아마 더 흥미로울 것입니다. 아래의 플롯은 모델을 훈련하는 동안에 입력 문장의 각 단어가 갖고 있는 모델 어텐션을 시각화하여 보여준 것입니다:

노트: 이 예제를 단일 P100 GPU에서 실행하기 위해서는 약 10분 정도 걸립니다.
import tensorflow as tf
import matplotlib.pyplot as plt
import matplotlib.ticker as ticker
from sklearn.model_selection import train_test_split
import unicodedata
import re
import numpy as np
import os
import io
import time
2022-12-14 21:59:06.512527: W tensorflow/compiler/xla/stream_executor/platform/default/dso_loader.cc:64] Could not load dynamic library 'libnvinfer.so.7'; dlerror: libnvinfer.so.7: cannot open shared object file: No such file or directory 2022-12-14 21:59:06.512647: W tensorflow/compiler/xla/stream_executor/platform/default/dso_loader.cc:64] Could not load dynamic library 'libnvinfer_plugin.so.7'; dlerror: libnvinfer_plugin.so.7: cannot open shared object file: No such file or directory 2022-12-14 21:59:06.512658: W tensorflow/compiler/tf2tensorrt/utils/py_utils.cc:38] TF-TRT Warning: Cannot dlopen some TensorRT libraries. If you would like to use Nvidia GPU with TensorRT, please make sure the missing libraries mentioned above are installed properly.
데이터셋 다운로드하고 준비하기
http://www.manythings.org/anki/ 에서 제공한 언어 데이터셋을 사용할 것입니다. 이 데이터셋은 언어 번역의 쌍이 다음과 같은 형식으로 포함되어 있습니다:
May I borrow this book? ¿Puedo tomar prestado este libro?
다양한 언어가 이용가능하지만 이 예제에서는 영어-스페인 데이터셋을 사용할 것입니다. 편의를 위해서 이 데이터셋의 복사본을 Google Cloud에서 호스팅 했지만 직접 다운로드해야 합니다. 데이터셋을 다운로드한 후에 데이터를 준비하고자 다음의 단계를 수행합니다.
- 각 문장에 start와 end 토큰을 추가합니다.
- 특정 문자를 제거함으로써 문장을 정리합니다.
- 단어 인덱스와 아이디(ID) 인덱스를 생성합니다. (단어 → 아이디(ID), 아이디(ID) → 단어로 매핑된 딕셔너리).
- 각 문장을 입력층의 최대 길이만큼 패딩(padding)을 수행합니다.
# 파일을 다운로드합니다.
path_to_zip = tf.keras.utils.get_file(
'spa-eng.zip', origin='http://storage.googleapis.com/download.tensorflow.org/data/spa-eng.zip',
extract=True)
path_to_file = os.path.dirname(path_to_zip)+"/spa-eng/spa.txt"
Downloading data from http://storage.googleapis.com/download.tensorflow.org/data/spa-eng.zip 2638744/2638744 [==============================] - 0s 0us/step
# 유니코드 파일을 아스키 코드 파일로 변환합니다.
def unicode_to_ascii(s):
return ''.join(c for c in unicodedata.normalize('NFD', s)
if unicodedata.category(c) != 'Mn')
def preprocess_sentence(w):
w = unicode_to_ascii(w.lower().strip())
# 단어와 단어 뒤에 오는 구두점(.)사이에 공백을 생성합니다.
# 예시: "he is a boy." => "he is a boy ."
# 참고:- https://stackoverflow.com/questions/3645931/python-padding-punctuation-with-white-spaces-keeping-punctuation
w = re.sub(r"([?.!,¿])", r" \1 ", w)
w = re.sub(r'[" "]+', " ", w)
# (a-z, A-Z, ".", "?", "!", ",")을 제외한 모든 것을 공백으로 대체합니다.
w = re.sub(r"[^a-zA-Z?.!,¿]+", " ", w)
w = w.strip()
# 모델이 예측을 시작하거나 중단할 때를 알게 하기 위해서
# 문장에 start와 end 토큰을 추가합니다.
w = '<start> ' + w + ' <end>'
return w
en_sentence = u"May I borrow this book?"
sp_sentence = u"¿Puedo tomar prestado este libro?"
print(preprocess_sentence(en_sentence))
print(preprocess_sentence(sp_sentence).encode('utf-8'))
<start> may i borrow this book ? <end> b'<start> \xc2\xbf puedo tomar prestado este libro ? <end>'
# 1. 문장에 있는 억양을 제거합니다.
# 2. 불필요한 문자를 제거하여 문장을 정리합니다.
# 3. 다음과 같은 형식으로 문장의 쌍을 반환합니다: [영어, 스페인어]
def create_dataset(path, num_examples):
lines = io.open(path, encoding='UTF-8').read().strip().split('\n')
word_pairs = [[preprocess_sentence(w) for w in l.split('\t')] for l in lines[:num_examples]]
return zip(*word_pairs)
en, sp = create_dataset(path_to_file, None)
print(en[-1])
print(sp[-1])
<start> if you want to sound like a native speaker , you must be willing to practice saying the same sentence over and over in the same way that banjo players practice the same phrase over and over until they can play it correctly and at the desired tempo . <end> <start> si quieres sonar como un hablante nativo , debes estar dispuesto a practicar diciendo la misma frase una y otra vez de la misma manera en que un musico de banjo practica el mismo fraseo una y otra vez hasta que lo puedan tocar correctamente y en el tiempo esperado . <end>
def tokenize(lang):
lang_tokenizer = tf.keras.preprocessing.text.Tokenizer(
filters='')
lang_tokenizer.fit_on_texts(lang)
tensor = lang_tokenizer.texts_to_sequences(lang)
tensor = tf.keras.preprocessing.sequence.pad_sequences(tensor,
padding='post')
return tensor, lang_tokenizer
def load_dataset(path, num_examples=None):
# 전처리된 타겟 문장과 입력 문장 쌍을 생성합니다.
targ_lang, inp_lang = create_dataset(path, num_examples)
input_tensor, inp_lang_tokenizer = tokenize(inp_lang)
target_tensor, targ_lang_tokenizer = tokenize(targ_lang)
return input_tensor, target_tensor, inp_lang_tokenizer, targ_lang_tokenizer
더 빠른 실행을 위해 데이터셋의 크기 제한하기(선택)
10만개 이상의 문장이 있는 완전한 데이터셋을 훈련하는 것은 오랜 시간이 걸립니다. 훈련 속도를 높이기 위해서 데이터셋의 크기를 3만개의 문장으로 제한합니다. (물론, 번역의 질은 데이터가 적어질수록 저하됩니다):
# 언어 데이터셋을 아래의 크기로 제한하여 훈련과 검증을 수행합니다.
num_examples = 30000
input_tensor, target_tensor, inp_lang, targ_lang = load_dataset(path_to_file, num_examples)
# 타겟 텐서와 입력 텐서의 최대 길이를 계산합니다.
max_length_targ, max_length_inp = target_tensor.shape[1], input_tensor.shape[1]
# 훈련 집합과 검증 집합을 80대 20으로 분리합니다.
input_tensor_train, input_tensor_val, target_tensor_train, target_tensor_val = train_test_split(input_tensor, target_tensor, test_size=0.2)
# 훈련 집합과 검증 집합의 데이터 크기를 출력합니다.
print(len(input_tensor_train), len(target_tensor_train), len(input_tensor_val), len(target_tensor_val))
24000 24000 6000 6000
def convert(lang, tensor):
for t in tensor:
if t!=0:
print ("%d ----> %s" % (t, lang.index_word[t]))
print ("Input Language; index to word mapping")
convert(inp_lang, input_tensor_train[0])
print ()
print ("Target Language; index to word mapping")
convert(targ_lang, target_tensor_train[0])
Input Language; index to word mapping 1 ----> <start> 55 ----> fue 36 ----> muy 1109 ----> emocionante 3 ----> . 2 ----> <end> Target Language; index to word mapping 1 ----> <start> 10 ----> it 26 ----> was 9 ----> a 3456 ----> thrill 3 ----> . 2 ----> <end>
tf.data 데이터셋 생성하기
BUFFER_SIZE = len(input_tensor_train)
BATCH_SIZE = 64
steps_per_epoch = len(input_tensor_train)//BATCH_SIZE
embedding_dim = 256
units = 1024
vocab_inp_size = len(inp_lang.word_index)+1
vocab_tar_size = len(targ_lang.word_index)+1
dataset = tf.data.Dataset.from_tensor_slices((input_tensor_train, target_tensor_train)).shuffle(BUFFER_SIZE)
dataset = dataset.batch(BATCH_SIZE, drop_remainder=True)
example_input_batch, example_target_batch = next(iter(dataset))
example_input_batch.shape, example_target_batch.shape
(TensorShape([64, 16]), TensorShape([64, 11]))
인코더 모델과 디코더 모델 쓰기
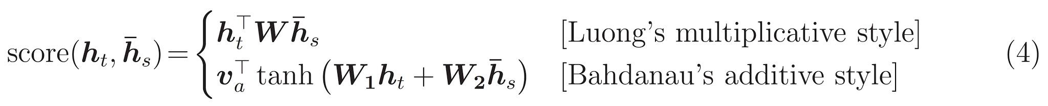
어텐션(attention)을 가진 인코더-디코더 모델을 수행합니다. 어텐션(attention)은 TensorFlow Neural Machine Translation (seq2seq) tutorial에서 읽을 수 있습니다. 이 예제는 더 최신의 API 집합을 사용합니다. 이 노트북은 seq2seq 튜토리얼로부터 어텐션 방정식을 수행합니다. 아래의 다이어그램은 각각의 입력 단어가 어텐션 메커니즘에 의해 가중치가 할당된 모습입니다. 이러한 어텐션 메커니즘은 디코더가 문장에서 다음 단어를 예측하기 위해 사용됩니다. 아래의 그림과 공식은 Luong's paper에서 나온 어텐션 메커니즘의 예시입니다.

입력은 (batch_size, max_length, hidden_size)의 형태로 이루어진 인코더 결과와 (batch_size, hidden_size)쌍으로 이루어진 인코더 은닉 상태(hidden state)를 제공하는 인코더 모델을 통해 입력됩니다.
아래의 공식은 위에서 사용한 방정식을 나타낸 것이다:

이 튜토리얼은 인코더를 위해 Bahdanau 어텐션을 사용합니다. 단순화된 형태로 쓰기 전에 표기법을 아래와 같이 정의합니다:
- FC = 완전 연결(Dense)층
- EO = 인코더 결과
- H = 은닉 상태(hidden state)
- X = 디코더에 대한 입력
그리고 다음은 슈도코드입니다:
스코어(score)는 FC(tanh(FC(EO) + FC(H)))로 계산합니다.어텐션 가중치는 softmax(score, axis = 1)로 계산합니다. 기본적으로 소프트맥스는 마지막 축을 적용하지만 스코어(score)의 형태가 (batch_size, max_length, hidden_size)이기 때문에 첫번째 축을 적용합니다.Max_length은 입력의 길이입니다. 각각의 입력에 가중치를 할당하려고 시도하기 때문에 소프트맥스는 그 축을 적용할 수 있습니다.컨텍스트 벡터(context vector)는 sum(어텐션 가중치 * EO, axis = 1)로 계산합니다. 위와 같은 이유로 첫번째 축을 선택합니다.임베딩 결과(embedding output)는 디코더 X에 대한 입력이 임베딩층을 통과한 결과입니다.병합된 벡터(merged vector)는 concat(임베딩 결과, 컨텍스트 백터(context vector))와 같습니다.- 그런 다음 병합된 벡터는 GRU에 주어집니다.
매 단계마다 모든 벡터의 형태는 코드내 주석에 명시되어 있습니다:
class Encoder(tf.keras.Model):
def __init__(self, vocab_size, embedding_dim, enc_units, batch_sz):
super(Encoder, self).__init__()
self.batch_sz = batch_sz
self.enc_units = enc_units
self.embedding = tf.keras.layers.Embedding(vocab_size, embedding_dim)
self.gru = tf.keras.layers.GRU(self.enc_units,
return_sequences=True,
return_state=True,
recurrent_initializer='glorot_uniform')
def call(self, x, hidden):
x = self.embedding(x)
output, state = self.gru(x, initial_state = hidden)
return output, state
def initialize_hidden_state(self):
return tf.zeros((self.batch_sz, self.enc_units))
encoder = Encoder(vocab_inp_size, embedding_dim, units, BATCH_SIZE)
# 샘플 입력
sample_hidden = encoder.initialize_hidden_state()
sample_output, sample_hidden = encoder(example_input_batch, sample_hidden)
print ('Encoder output shape: (batch size, sequence length, units) {}'.format(sample_output.shape))
print ('Encoder Hidden state shape: (batch size, units) {}'.format(sample_hidden.shape))
Encoder output shape: (batch size, sequence length, units) (64, 16, 1024) Encoder Hidden state shape: (batch size, units) (64, 1024)
class BahdanauAttention(tf.keras.layers.Layer):
def __init__(self, units):
super(BahdanauAttention, self).__init__()
self.W1 = tf.keras.layers.Dense(units)
self.W2 = tf.keras.layers.Dense(units)
self.V = tf.keras.layers.Dense(1)
def call(self, query, values):
# 쿼리 은닉 상태(query hidden state)는 (batch_size, hidden size)쌍으로 이루어져 있습니다.
# query_with_time_axis은 (batch_size, 1, hidden size)쌍으로 이루어져 있습니다.
# values는 (batch_size, max_len, hidden size)쌍으로 이루어져 있습니다.
# 스코어(score)계산을 위해 덧셈을 수행하고자 시간 축을 확장하여 아래의 과정을 수행합니다.
query_with_time_axis = tf.expand_dims(query, 1)
# score는 (batch_size, max_length, 1)쌍으로 이루어져 있습니다.
# score를 self.V에 적용하기 때문에 마지막 축에 1을 얻습니다.
# self.V에 적용하기 전에 텐서는 (batch_size, max_length, units)쌍으로 이루어져 있습니다.
score = self.V(tf.nn.tanh(
self.W1(query_with_time_axis) + self.W2(values)))
# attention_weights는 (batch_size, max_length, 1)쌍으로 이루어져 있습니다.
attention_weights = tf.nn.softmax(score, axis=1)
# 덧셈이후 컨텍스트 벡터(context_vector)는 (batch_size, hidden_size)쌍으로 이루어져 있습니다.
context_vector = attention_weights * values
context_vector = tf.reduce_sum(context_vector, axis=1)
return context_vector, attention_weights
attention_layer = BahdanauAttention(10)
attention_result, attention_weights = attention_layer(sample_hidden, sample_output)
print("Attention result shape: (batch size, units) {}".format(attention_result.shape))
print("Attention weights shape: (batch_size, sequence_length, 1) {}".format(attention_weights.shape))
Attention result shape: (batch size, units) (64, 1024) Attention weights shape: (batch_size, sequence_length, 1) (64, 16, 1)
class Decoder(tf.keras.Model):
def __init__(self, vocab_size, embedding_dim, dec_units, batch_sz):
super(Decoder, self).__init__()
self.batch_sz = batch_sz
self.dec_units = dec_units
self.embedding = tf.keras.layers.Embedding(vocab_size, embedding_dim)
self.gru = tf.keras.layers.GRU(self.dec_units,
return_sequences=True,
return_state=True,
recurrent_initializer='glorot_uniform')
self.fc = tf.keras.layers.Dense(vocab_size)
# 어텐션을 사용합니다.
self.attention = BahdanauAttention(self.dec_units)
def call(self, x, hidden, enc_output):
# enc_output는 (batch_size, max_length, hidden_size)쌍으로 이루어져 있습니다.
context_vector, attention_weights = self.attention(hidden, enc_output)
# 임베딩층을 통과한 후 x는 (batch_size, 1, embedding_dim)쌍으로 이루어져 있습니다.
x = self.embedding(x)
# 컨텍스트 벡터와 임베딩 결과를 결합한 이후 x의 형태는 (batch_size, 1, embedding_dim + hidden_size)쌍으로 이루어져 있습니다.
x = tf.concat([tf.expand_dims(context_vector, 1), x], axis=-1)
# 위에서 결합된 벡터를 GRU에 전달합니다.
output, state = self.gru(x)
# output은 (batch_size * 1, hidden_size)쌍으로 이루어져 있습니다.
output = tf.reshape(output, (-1, output.shape[2]))
# output은 (batch_size, vocab)쌍으로 이루어져 있습니다.
x = self.fc(output)
return x, state, attention_weights
decoder = Decoder(vocab_tar_size, embedding_dim, units, BATCH_SIZE)
sample_decoder_output, _, _ = decoder(tf.random.uniform((BATCH_SIZE, 1)),
sample_hidden, sample_output)
print ('Decoder output shape: (batch_size, vocab size) {}'.format(sample_decoder_output.shape))
Decoder output shape: (batch_size, vocab size) (64, 4935)
최적화 함수와 손실 함수 정의하기
optimizer = tf.keras.optimizers.Adam()
loss_object = tf.keras.losses.SparseCategoricalCrossentropy(
from_logits=True, reduction='none')
def loss_function(real, pred):
mask = tf.math.logical_not(tf.math.equal(real, 0))
loss_ = loss_object(real, pred)
mask = tf.cast(mask, dtype=loss_.dtype)
loss_ *= mask
return tf.reduce_mean(loss_)
체크포인트 (객체 기반 저장)
checkpoint_dir = './training_checkpoints'
checkpoint_prefix = os.path.join(checkpoint_dir, "ckpt")
checkpoint = tf.train.Checkpoint(optimizer=optimizer,
encoder=encoder,
decoder=decoder)
언어 모델 훈련하기
- 인코더 결과와 인코더 은닉 상태(hidden state)를 반환하는 인코더를 통해서 입력을 전달합니다.
- 인코더 결과, 인코더 은닉 상태(hidden state), 디코더 입력 (start 토큰)을 디코더에 전달합니다.
- 전달 받은 값을 통해 디코더는 예측 값과 디코더 은닉 상태(hidden state)를 반환합니다.
- 그 다음에 디코더 은닉 상태(hidden state)가 다시 모델에 전달되고 예측 값을 사용하여 손실을 계산합니다.
- 디코더에 대한 다음 입력을 결정하기 위해서 교사 강요(teacher forcing)를 사용합니다.
- 교사 강요(teacher forcing)는 타겟 단어가 디코더에 다음 입력으로 전달하기 위한 기술입니다.
- 마지막 단계는 그레디언트(gradients)를 계산하여 이를 옵티마이저(optimizer)와 역전파(backpropagate)에 적용합니다.
@tf.function
def train_step(inp, targ, enc_hidden):
loss = 0
with tf.GradientTape() as tape:
enc_output, enc_hidden = encoder(inp, enc_hidden)
dec_hidden = enc_hidden
dec_input = tf.expand_dims([targ_lang.word_index['<start>']] * BATCH_SIZE, 1)
# 교사 강요(teacher forcing) - 다음 입력으로 타겟을 피딩(feeding)합니다.
for t in range(1, targ.shape[1]):
# enc_output를 디코더에 전달합니다.
predictions, dec_hidden, _ = decoder(dec_input, dec_hidden, enc_output)
loss += loss_function(targ[:, t], predictions)
# 교사 강요(teacher forcing)를 사용합니다.
dec_input = tf.expand_dims(targ[:, t], 1)
batch_loss = (loss / int(targ.shape[1]))
variables = encoder.trainable_variables + decoder.trainable_variables
gradients = tape.gradient(loss, variables)
optimizer.apply_gradients(zip(gradients, variables))
return batch_loss
EPOCHS = 10
for epoch in range(EPOCHS):
start = time.time()
enc_hidden = encoder.initialize_hidden_state()
total_loss = 0
for (batch, (inp, targ)) in enumerate(dataset.take(steps_per_epoch)):
batch_loss = train_step(inp, targ, enc_hidden)
total_loss += batch_loss
if batch % 100 == 0:
print('Epoch {} Batch {} Loss {:.4f}'.format(epoch + 1,
batch,
batch_loss.numpy()))
# 에포크가 2번 실행될때마다 모델 저장 (체크포인트)
if (epoch + 1) % 2 == 0:
checkpoint.save(file_prefix = checkpoint_prefix)
print('Epoch {} Loss {:.4f}'.format(epoch + 1,
total_loss / steps_per_epoch))
print('Time taken for 1 epoch {} sec\n'.format(time.time() - start))
Epoch 1 Batch 0 Loss 4.6384 Epoch 1 Batch 100 Loss 2.2454 Epoch 1 Batch 200 Loss 1.8700 Epoch 1 Batch 300 Loss 1.7020 Epoch 1 Loss 2.0448 Time taken for 1 epoch 41.00983476638794 sec Epoch 2 Batch 0 Loss 1.5696 Epoch 2 Batch 100 Loss 1.5537 Epoch 2 Batch 200 Loss 1.2780 Epoch 2 Batch 300 Loss 1.3496 Epoch 2 Loss 1.4002 Time taken for 1 epoch 20.720845222473145 sec Epoch 3 Batch 0 Loss 1.0209 Epoch 3 Batch 100 Loss 1.0567 Epoch 3 Batch 200 Loss 1.0503 Epoch 3 Batch 300 Loss 0.8947 Epoch 3 Loss 0.9942 Time taken for 1 epoch 19.372259855270386 sec Epoch 4 Batch 0 Loss 0.7986 Epoch 4 Batch 100 Loss 0.7268 Epoch 4 Batch 200 Loss 0.6399 Epoch 4 Batch 300 Loss 0.6871 Epoch 4 Loss 0.6838 Time taken for 1 epoch 19.9867901802063 sec Epoch 5 Batch 0 Loss 0.4628 Epoch 5 Batch 100 Loss 0.4687 Epoch 5 Batch 200 Loss 0.3977 Epoch 5 Batch 300 Loss 0.4665 Epoch 5 Loss 0.4678 Time taken for 1 epoch 19.2256863117218 sec Epoch 6 Batch 0 Loss 0.3484 Epoch 6 Batch 100 Loss 0.2885 Epoch 6 Batch 200 Loss 0.3137 Epoch 6 Batch 300 Loss 0.3120 Epoch 6 Loss 0.3227 Time taken for 1 epoch 19.75136137008667 sec Epoch 7 Batch 0 Loss 0.1817 Epoch 7 Batch 100 Loss 0.2055 Epoch 7 Batch 200 Loss 0.2512 Epoch 7 Batch 300 Loss 0.2247 Epoch 7 Loss 0.2308 Time taken for 1 epoch 19.50251841545105 sec Epoch 8 Batch 0 Loss 0.2012 Epoch 8 Batch 100 Loss 0.1823 Epoch 8 Batch 200 Loss 0.1650 Epoch 8 Batch 300 Loss 0.1826 Epoch 8 Loss 0.1707 Time taken for 1 epoch 19.76228904724121 sec Epoch 9 Batch 0 Loss 0.0914 Epoch 9 Batch 100 Loss 0.1267 Epoch 9 Batch 200 Loss 0.1182 Epoch 9 Batch 300 Loss 0.1137 Epoch 9 Loss 0.1323 Time taken for 1 epoch 19.25247097015381 sec Epoch 10 Batch 0 Loss 0.0983 Epoch 10 Batch 100 Loss 0.1091 Epoch 10 Batch 200 Loss 0.1033 Epoch 10 Batch 300 Loss 0.0770 Epoch 10 Loss 0.1063 Time taken for 1 epoch 19.68044877052307 sec
훈련된 모델로 번역하기
- 평가 함수는 여기서 교사 강요(teacher forcing)를 사용하기 못하는 것을 제외하고는 훈련 루프와 비슷합니다. 각 마지막 시점(time step)에서 이전 디코더 인코더의 결과와 은닉 상태(hidden state)를 가진 예측 값을 디코더에 입력합니다.
- 모델이 *end 토큰을 예측할 때 예측하는 것을 중지합니다. *.
- 그리고 매 마지막 시점(time step)에 대한 어텐션 가중치를 저장합니다.
노트: 인코더 결과는 하나의 입력에 대해 단 한 번만 계산됩니다.
def evaluate(sentence):
attention_plot = np.zeros((max_length_targ, max_length_inp))
sentence = preprocess_sentence(sentence)
inputs = [inp_lang.word_index[i] for i in sentence.split(' ')]
inputs = tf.keras.preprocessing.sequence.pad_sequences([inputs],
maxlen=max_length_inp,
padding='post')
inputs = tf.convert_to_tensor(inputs)
result = ''
hidden = [tf.zeros((1, units))]
enc_out, enc_hidden = encoder(inputs, hidden)
dec_hidden = enc_hidden
dec_input = tf.expand_dims([targ_lang.word_index['<start>']], 0)
for t in range(max_length_targ):
predictions, dec_hidden, attention_weights = decoder(dec_input,
dec_hidden,
enc_out)
# 나중에 어텐션 가중치를 시각화하기 위해 어텐션 가중치를 저장합니다.
attention_weights = tf.reshape(attention_weights, (-1, ))
attention_plot[t] = attention_weights.numpy()
predicted_id = tf.argmax(predictions[0]).numpy()
result += targ_lang.index_word[predicted_id] + ' '
if targ_lang.index_word[predicted_id] == '<end>':
return result, sentence, attention_plot
# 예측된 ID를 모델에 다시 피드합니다.
dec_input = tf.expand_dims([predicted_id], 0)
return result, sentence, attention_plot
# 어텐션 가중치를 그리기 위한 함수입니다.
def plot_attention(attention, sentence, predicted_sentence):
fig = plt.figure(figsize=(10,10))
ax = fig.add_subplot(1, 1, 1)
ax.matshow(attention, cmap='viridis')
fontdict = {'fontsize': 14}
ax.set_xticklabels([''] + sentence, fontdict=fontdict, rotation=90)
ax.set_yticklabels([''] + predicted_sentence, fontdict=fontdict)
ax.xaxis.set_major_locator(ticker.MultipleLocator(1))
ax.yaxis.set_major_locator(ticker.MultipleLocator(1))
plt.show()
def translate(sentence):
result, sentence, attention_plot = evaluate(sentence)
print('Input: %s' % (sentence))
print('Predicted translation: {}'.format(result))
attention_plot = attention_plot[:len(result.split(' ')), :len(sentence.split(' '))]
plot_attention(attention_plot, sentence.split(' '), result.split(' '))
마지막 체크포인트(checkpoint)를 복원하고 테스트하기
# checkpoint_dir내에 있는 최근 체크포인트(checkpoint)를 복원합니다.
checkpoint.restore(tf.train.latest_checkpoint(checkpoint_dir))
<tensorflow.python.checkpoint.checkpoint.CheckpointLoadStatus at 0x7fe5fae14730>
translate(u'hace mucho frio aqui.')
Input: <start> hace mucho frio aqui . <end> Predicted translation: it s very cold here . <end> /tmpfs/tmp/ipykernel_690249/2919660472.py:9: UserWarning: FixedFormatter should only be used together with FixedLocator ax.set_xticklabels([''] + sentence, fontdict=fontdict, rotation=90) /tmpfs/tmp/ipykernel_690249/2919660472.py:10: UserWarning: FixedFormatter should only be used together with FixedLocator ax.set_yticklabels([''] + predicted_sentence, fontdict=fontdict)

translate(u'esta es mi vida.')
Input: <start> esta es mi vida . <end> Predicted translation: this is my life . <end> /tmpfs/tmp/ipykernel_690249/2919660472.py:9: UserWarning: FixedFormatter should only be used together with FixedLocator ax.set_xticklabels([''] + sentence, fontdict=fontdict, rotation=90) /tmpfs/tmp/ipykernel_690249/2919660472.py:10: UserWarning: FixedFormatter should only be used together with FixedLocator ax.set_yticklabels([''] + predicted_sentence, fontdict=fontdict)

translate(u'¿todavia estan en casa?')
Input: <start> ¿ todavia estan en casa ? <end> Predicted translation: are you still at home ? <end> /tmpfs/tmp/ipykernel_690249/2919660472.py:9: UserWarning: FixedFormatter should only be used together with FixedLocator ax.set_xticklabels([''] + sentence, fontdict=fontdict, rotation=90) /tmpfs/tmp/ipykernel_690249/2919660472.py:10: UserWarning: FixedFormatter should only be used together with FixedLocator ax.set_yticklabels([''] + predicted_sentence, fontdict=fontdict)

# 잘못된 번역
translate(u'trata de averiguarlo.')
Input: <start> trata de averiguarlo . <end> Predicted translation: try to figure it out . <end> /tmpfs/tmp/ipykernel_690249/2919660472.py:9: UserWarning: FixedFormatter should only be used together with FixedLocator ax.set_xticklabels([''] + sentence, fontdict=fontdict, rotation=90) /tmpfs/tmp/ipykernel_690249/2919660472.py:10: UserWarning: FixedFormatter should only be used together with FixedLocator ax.set_yticklabels([''] + predicted_sentence, fontdict=fontdict)

다음 단계
- 앞서 영어-스페인어 데이터셋을 이용해 모델을 훈련하였습니다. 이제 영어-프랑스어, 영어-한국어 등의 댜양한 다른 언어 데이터셋을 활용하여 모델을 훈련시켜 보십시오.
- 또한 이 예제에서는 데이터셋을 제한하여 모델을 만들어 보았습니다. 이제 더 많은 데이터셋 혹은 더 많은 에포크(epochs)를 적용하여 모델을 훈련해보십시오.
TensorFlow.org에서 보기
구글 코랩(Colab)에서 실행하기
깃허브(GitHub) 소스 보기
노트북(notebook) 다운로드