Посмотреть на TensorFlow.org | Запустить в Google Colab | Посмотреть исходный код на GitHub | Скачать блокнот |
В этом руководстве показано обучение простой сверточной нейронной сети (CNN) для классификации изображений CIFAR . Поскольку в этом руководстве используется Keras Sequential API , для создания и обучения вашей модели потребуется всего несколько строк кода.
Импорт TensorFlow
import tensorflow as tf
from tensorflow.keras import datasets, layers, models
import matplotlib.pyplot as plt
Загрузите и подготовьте набор данных CIFAR10.
Набор данных CIFAR10 содержит 60 000 цветных изображений в 10 классах, по 6 000 изображений в каждом классе. Набор данных разделен на 50 000 обучающих изображений и 10 000 тестовых изображений. Классы взаимоисключающие и между ними нет пересечения.
(train_images, train_labels), (test_images, test_labels) = datasets.cifar10.load_data()
# Normalize pixel values to be between 0 and 1
train_images, test_images = train_images / 255.0, test_images / 255.0
Downloading data from https://www.cs.toronto.edu/~kriz/cifar-10-python.tar.gz 170500096/170498071 [==============================] - 11s 0us/step 170508288/170498071 [==============================] - 11s 0us/step
Проверьте данные
Чтобы убедиться, что набор данных выглядит правильно, давайте построим первые 25 изображений из обучающего набора и отобразим имя класса под каждым изображением:
class_names = ['airplane', 'automobile', 'bird', 'cat', 'deer',
'dog', 'frog', 'horse', 'ship', 'truck']
plt.figure(figsize=(10,10))
for i in range(25):
plt.subplot(5,5,i+1)
plt.xticks([])
plt.yticks([])
plt.grid(False)
plt.imshow(train_images[i])
# The CIFAR labels happen to be arrays,
# which is why you need the extra index
plt.xlabel(class_names[train_labels[i][0]])
plt.show()

Создание сверточной базы
6 строк кода ниже определяют основу свертки, используя общий шаблон: стек слоев Conv2D и MaxPooling2D .
В качестве входных данных CNN принимает тензоры формы (image_height, image_width, color_channels), игнорируя размер пакета. Если вы новичок в этих измерениях, color_channels относится к (R, G, B). В этом примере вы настроите свою CNN для обработки входных данных формы (32, 32, 3), которая является форматом изображений CIFAR. Вы можете сделать это, передав аргумент input_shape вашему первому слою.
model = models.Sequential()
model.add(layers.Conv2D(32, (3, 3), activation='relu', input_shape=(32, 32, 3)))
model.add(layers.MaxPooling2D((2, 2)))
model.add(layers.Conv2D(64, (3, 3), activation='relu'))
model.add(layers.MaxPooling2D((2, 2)))
model.add(layers.Conv2D(64, (3, 3), activation='relu'))
Давайте покажем архитектуру вашей модели на данный момент:
model.summary()
Model: "sequential"
_________________________________________________________________
Layer (type) Output Shape Param #
=================================================================
conv2d (Conv2D) (None, 30, 30, 32) 896
max_pooling2d (MaxPooling2D (None, 15, 15, 32) 0
)
conv2d_1 (Conv2D) (None, 13, 13, 64) 18496
max_pooling2d_1 (MaxPooling (None, 6, 6, 64) 0
2D)
conv2d_2 (Conv2D) (None, 4, 4, 64) 36928
=================================================================
Total params: 56,320
Trainable params: 56,320
Non-trainable params: 0
_________________________________________________________________
Выше вы можете видеть, что выходные данные каждого слоя Conv2D и MaxPooling2D представляют собой трехмерный тензор формы (высота, ширина, каналы). Размеры ширины и высоты имеют тенденцию уменьшаться по мере того, как вы углубляетесь в сеть. Количество выходных каналов для каждого слоя Conv2D управляется первым аргументом (например, 32 или 64). Как правило, по мере уменьшения ширины и высоты вы можете позволить (вычислительно) добавить больше выходных каналов в каждый слой Conv2D.
Добавьте плотные слои сверху
Чтобы завершить модель, вы передадите последний выходной тензор из сверточной базы (формы (4, 4, 64)) в один или несколько плотных слоев для выполнения классификации. Плотные слои принимают в качестве входных данных векторы (которые являются одномерными), а текущий вывод представляет собой трехмерный тензор. Сначала вы сгладите (или развернете) 3D-выход в 1D, а затем добавите один или несколько плотных слоев сверху. CIFAR имеет 10 выходных классов, поэтому вы используете последний плотный слой с 10 выходными данными.
model.add(layers.Flatten())
model.add(layers.Dense(64, activation='relu'))
model.add(layers.Dense(10))
Вот полная архитектура вашей модели:
model.summary()
Model: "sequential"
_________________________________________________________________
Layer (type) Output Shape Param #
=================================================================
conv2d (Conv2D) (None, 30, 30, 32) 896
max_pooling2d (MaxPooling2D (None, 15, 15, 32) 0
)
conv2d_1 (Conv2D) (None, 13, 13, 64) 18496
max_pooling2d_1 (MaxPooling (None, 6, 6, 64) 0
2D)
conv2d_2 (Conv2D) (None, 4, 4, 64) 36928
flatten (Flatten) (None, 1024) 0
dense (Dense) (None, 64) 65600
dense_1 (Dense) (None, 10) 650
=================================================================
Total params: 122,570
Trainable params: 122,570
Non-trainable params: 0
_________________________________________________________________
Сводка по сети показывает, что выходные данные (4, 4, 64) были сглажены в векторы формы (1024) перед прохождением через два плотных слоя.
Скомпилируйте и обучите модель
model.compile(optimizer='adam',
loss=tf.keras.losses.SparseCategoricalCrossentropy(from_logits=True),
metrics=['accuracy'])
history = model.fit(train_images, train_labels, epochs=10,
validation_data=(test_images, test_labels))
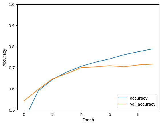
Epoch 1/10 1563/1563 [==============================] - 8s 4ms/step - loss: 1.4971 - accuracy: 0.4553 - val_loss: 1.2659 - val_accuracy: 0.5492 Epoch 2/10 1563/1563 [==============================] - 6s 4ms/step - loss: 1.1424 - accuracy: 0.5966 - val_loss: 1.1025 - val_accuracy: 0.6098 Epoch 3/10 1563/1563 [==============================] - 6s 4ms/step - loss: 0.9885 - accuracy: 0.6539 - val_loss: 0.9557 - val_accuracy: 0.6629 Epoch 4/10 1563/1563 [==============================] - 6s 4ms/step - loss: 0.8932 - accuracy: 0.6878 - val_loss: 0.8924 - val_accuracy: 0.6935 Epoch 5/10 1563/1563 [==============================] - 6s 4ms/step - loss: 0.8222 - accuracy: 0.7130 - val_loss: 0.8679 - val_accuracy: 0.7025 Epoch 6/10 1563/1563 [==============================] - 6s 4ms/step - loss: 0.7663 - accuracy: 0.7323 - val_loss: 0.9336 - val_accuracy: 0.6819 Epoch 7/10 1563/1563 [==============================] - 6s 4ms/step - loss: 0.7224 - accuracy: 0.7466 - val_loss: 0.8546 - val_accuracy: 0.7086 Epoch 8/10 1563/1563 [==============================] - 6s 4ms/step - loss: 0.6726 - accuracy: 0.7611 - val_loss: 0.8777 - val_accuracy: 0.7068 Epoch 9/10 1563/1563 [==============================] - 6s 4ms/step - loss: 0.6372 - accuracy: 0.7760 - val_loss: 0.8410 - val_accuracy: 0.7179 Epoch 10/10 1563/1563 [==============================] - 6s 4ms/step - loss: 0.6024 - accuracy: 0.7875 - val_loss: 0.8475 - val_accuracy: 0.7192
Оценить модель
plt.plot(history.history['accuracy'], label='accuracy')
plt.plot(history.history['val_accuracy'], label = 'val_accuracy')
plt.xlabel('Epoch')
plt.ylabel('Accuracy')
plt.ylim([0.5, 1])
plt.legend(loc='lower right')
test_loss, test_acc = model.evaluate(test_images, test_labels, verbose=2)
313/313 - 1s - loss: 0.8475 - accuracy: 0.7192 - 634ms/epoch - 2ms/step

print(test_acc)
0.7192000150680542
Ваша простая CNN достигла точности теста более 70%. Неплохо для нескольких строк кода! Для другого стиля CNN ознакомьтесь с примером быстрого запуска TensorFlow 2 для экспертов , в котором используется API подклассов Keras и tf.GradientTape .
Посмотреть на TensorFlow.org
Запустить в Google Colab
Посмотреть исходный код на GitHub
Скачать блокнот