الشبكة العصبية التلافيفية (CNN)

عرض على TensorFlow.org تشغيل في Google Colab عرض المصدر على جيثب تحميل دفتر

يوضح هذا البرنامج التعليمي تدريب شبكة عصبية تلافيفية بسيطة (CNN) لتصنيف صور CIFAR . نظرًا لأن هذا البرنامج التعليمي يستخدم Keras Sequential API ، فإن إنشاء نموذجك وتدريبه سيستغرق بضعة أسطر من التعليمات البرمجية.

استيراد TensorFlow

import tensorflow as tf

from tensorflow.keras import datasets, layers, models
import matplotlib.pyplot as plt

قم بتنزيل وإعداد مجموعة بيانات CIFAR10

تحتوي مجموعة بيانات CIFAR10 على 60.000 صورة ملونة في 10 فئات ، مع 6000 صورة في كل فئة. تنقسم مجموعة البيانات إلى 50000 صورة تدريب و 10000 صورة اختبار. الفئات متنافية ولا يوجد تداخل بينها.

(train_images, train_labels), (test_images, test_labels) = datasets.cifar10.load_data()

# Normalize pixel values to be between 0 and 1
train_images, test_images = train_images / 255.0, test_images / 255.0
Downloading data from https://www.cs.toronto.edu/~kriz/cifar-10-python.tar.gz
170500096/170498071 [==============================] - 11s 0us/step
170508288/170498071 [==============================] - 11s 0us/step

تحقق من البيانات

للتحقق من أن مجموعة البيانات تبدو صحيحة ، دعنا نرسم أول 25 صورة من مجموعة التدريب ونعرض اسم الفصل أسفل كل صورة:

class_names = ['airplane', 'automobile', 'bird', 'cat', 'deer',
               'dog', 'frog', 'horse', 'ship', 'truck']

plt.figure(figsize=(10,10))
for i in range(25):
    plt.subplot(5,5,i+1)
    plt.xticks([])
    plt.yticks([])
    plt.grid(False)
    plt.imshow(train_images[i])
    # The CIFAR labels happen to be arrays, 
    # which is why you need the extra index
    plt.xlabel(class_names[train_labels[i][0]])
plt.show()

بي إن جي

أنشئ القاعدة التلافيفية

تحدد الأسطر الستة من الكود أدناه القاعدة التلافيفية باستخدام نمط مشترك: كومة من طبقات Conv2D و MaxPooling2D .

كإدخال ، تأخذ CNN الموترات من الشكل (image_height ، image_width ، color_channels) ، متجاهلة حجم الدُفعة. إذا كنت جديدًا على هذه الأبعاد ، فإن قنوات color_channels تشير إلى (R ، G ، B). في هذا المثال ، ستقوم بتكوين شبكة CNN الخاصة بك لمعالجة مدخلات الشكل (32 ، 32 ، 3) ، وهو تنسيق صور CIFAR. يمكنك القيام بذلك عن طريق تمرير input_shape إلى الطبقة الأولى.

model = models.Sequential()
model.add(layers.Conv2D(32, (3, 3), activation='relu', input_shape=(32, 32, 3)))
model.add(layers.MaxPooling2D((2, 2)))
model.add(layers.Conv2D(64, (3, 3), activation='relu'))
model.add(layers.MaxPooling2D((2, 2)))
model.add(layers.Conv2D(64, (3, 3), activation='relu'))

دعنا نعرض بنية نموذجك حتى الآن:

model.summary()
Model: "sequential"
_________________________________________________________________
 Layer (type)                Output Shape              Param #   
=================================================================
 conv2d (Conv2D)             (None, 30, 30, 32)        896       
                                                                 
 max_pooling2d (MaxPooling2D  (None, 15, 15, 32)       0         
 )                                                               
                                                                 
 conv2d_1 (Conv2D)           (None, 13, 13, 64)        18496     
                                                                 
 max_pooling2d_1 (MaxPooling  (None, 6, 6, 64)         0         
 2D)                                                             
                                                                 
 conv2d_2 (Conv2D)           (None, 4, 4, 64)          36928     
                                                                 
=================================================================
Total params: 56,320
Trainable params: 56,320
Non-trainable params: 0
_________________________________________________________________

أعلاه ، يمكنك أن ترى أن ناتج كل طبقة Conv2D و MaxPooling2D هو موتر ثلاثي الأبعاد للشكل (الارتفاع ، العرض ، القنوات). تميل أبعاد العرض والارتفاع إلى الانكماش كلما تعمقت في الشبكة. يتم التحكم في عدد قنوات الإخراج لكل طبقة Conv2D بواسطة الوسيطة الأولى (على سبيل المثال ، 32 أو 64). عادةً ، مع تقلص العرض والارتفاع ، يمكنك (حسابيًا) إضافة المزيد من قنوات الإخراج في كل طبقة Conv2D.

أضف طبقات كثيفة في الأعلى

لإكمال النموذج ، ستقوم بتغذية آخر موتر الإخراج من القاعدة التلافيفية (للشكل (4 ، 4 ، 64)) في طبقة كثيفة واحدة أو أكثر لإجراء التصنيف. تأخذ الطبقات الكثيفة المتجهات كمدخلات (وهي 1D) ، بينما الإخراج الحالي هو موتر ثلاثي الأبعاد. أولاً ، ستقوم بتسوية (أو إلغاء) الإخراج ثلاثي الأبعاد إلى 1D ، ثم إضافة طبقة كثيفة واحدة أو أكثر في الأعلى. تحتوي CIFAR على 10 فئات إخراج ، لذلك يمكنك استخدام طبقة كثيفة نهائية مع 10 مخرجات.

model.add(layers.Flatten())
model.add(layers.Dense(64, activation='relu'))
model.add(layers.Dense(10))

ها هي البنية الكاملة لنموذجك:

model.summary()
Model: "sequential"
_________________________________________________________________
 Layer (type)                Output Shape              Param #   
=================================================================
 conv2d (Conv2D)             (None, 30, 30, 32)        896       
                                                                 
 max_pooling2d (MaxPooling2D  (None, 15, 15, 32)       0         
 )                                                               
                                                                 
 conv2d_1 (Conv2D)           (None, 13, 13, 64)        18496     
                                                                 
 max_pooling2d_1 (MaxPooling  (None, 6, 6, 64)         0         
 2D)                                                             
                                                                 
 conv2d_2 (Conv2D)           (None, 4, 4, 64)          36928     
                                                                 
 flatten (Flatten)           (None, 1024)              0         
                                                                 
 dense (Dense)               (None, 64)                65600     
                                                                 
 dense_1 (Dense)             (None, 10)                650       
                                                                 
=================================================================
Total params: 122,570
Trainable params: 122,570
Non-trainable params: 0
_________________________________________________________________

يوضح ملخص الشبكة أنه تم تسوية النواتج (4 ، 4 ، 64) إلى متجهات الشكل (1024) قبل المرور عبر طبقتين كثيفتين.

تجميع وتدريب النموذج

model.compile(optimizer='adam',
              loss=tf.keras.losses.SparseCategoricalCrossentropy(from_logits=True),
              metrics=['accuracy'])

history = model.fit(train_images, train_labels, epochs=10, 
                    validation_data=(test_images, test_labels))
Epoch 1/10
1563/1563 [==============================] - 8s 4ms/step - loss: 1.4971 - accuracy: 0.4553 - val_loss: 1.2659 - val_accuracy: 0.5492
Epoch 2/10
1563/1563 [==============================] - 6s 4ms/step - loss: 1.1424 - accuracy: 0.5966 - val_loss: 1.1025 - val_accuracy: 0.6098
Epoch 3/10
1563/1563 [==============================] - 6s 4ms/step - loss: 0.9885 - accuracy: 0.6539 - val_loss: 0.9557 - val_accuracy: 0.6629
Epoch 4/10
1563/1563 [==============================] - 6s 4ms/step - loss: 0.8932 - accuracy: 0.6878 - val_loss: 0.8924 - val_accuracy: 0.6935
Epoch 5/10
1563/1563 [==============================] - 6s 4ms/step - loss: 0.8222 - accuracy: 0.7130 - val_loss: 0.8679 - val_accuracy: 0.7025
Epoch 6/10
1563/1563 [==============================] - 6s 4ms/step - loss: 0.7663 - accuracy: 0.7323 - val_loss: 0.9336 - val_accuracy: 0.6819
Epoch 7/10
1563/1563 [==============================] - 6s 4ms/step - loss: 0.7224 - accuracy: 0.7466 - val_loss: 0.8546 - val_accuracy: 0.7086
Epoch 8/10
1563/1563 [==============================] - 6s 4ms/step - loss: 0.6726 - accuracy: 0.7611 - val_loss: 0.8777 - val_accuracy: 0.7068
Epoch 9/10
1563/1563 [==============================] - 6s 4ms/step - loss: 0.6372 - accuracy: 0.7760 - val_loss: 0.8410 - val_accuracy: 0.7179
Epoch 10/10
1563/1563 [==============================] - 6s 4ms/step - loss: 0.6024 - accuracy: 0.7875 - val_loss: 0.8475 - val_accuracy: 0.7192

قم بتقييم النموذج

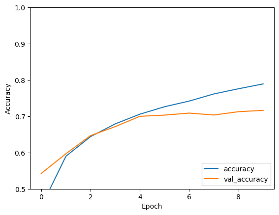
plt.plot(history.history['accuracy'], label='accuracy')
plt.plot(history.history['val_accuracy'], label = 'val_accuracy')
plt.xlabel('Epoch')
plt.ylabel('Accuracy')
plt.ylim([0.5, 1])
plt.legend(loc='lower right')

test_loss, test_acc = model.evaluate(test_images,  test_labels, verbose=2)
313/313 - 1s - loss: 0.8475 - accuracy: 0.7192 - 634ms/epoch - 2ms/step

بي إن جي

print(test_acc)
0.7192000150680542

لقد حققت شبكة CNN الخاصة بك دقة اختبار تزيد عن 70٪. ليس سيئا لبضعة أسطر من التعليمات البرمجية! للحصول على نمط CNN آخر ، تحقق من TensorFlow 2 Quickstart للحصول على مثال الخبراء الذي يستخدم Keras subclassing API و tf.GradientTape .