Сверточная нейронная сеть (CNN)

Посмотреть на TensorFlow.org Запустить в Google Colab Посмотреть исходный код на GitHub Скачать блокнот

В этом руководстве показано обучение простой сверточной нейронной сети (CNN) для классификации изображений CIFAR . Поскольку в этом руководстве используется Keras Sequential API , для создания и обучения вашей модели потребуется всего несколько строк кода.

Импорт TensorFlow

import tensorflow as tf

from tensorflow.keras import datasets, layers, models
import matplotlib.pyplot as plt

Загрузите и подготовьте набор данных CIFAR10.

Набор данных CIFAR10 содержит 60 000 цветных изображений в 10 классах, по 6 000 изображений в каждом классе. Набор данных разделен на 50 000 обучающих изображений и 10 000 тестовых изображений. Классы взаимоисключающие и между ними нет пересечения.

(train_images, train_labels), (test_images, test_labels) = datasets.cifar10.load_data()

# Normalize pixel values to be between 0 and 1
train_images, test_images = train_images / 255.0, test_images / 255.0
Downloading data from https://www.cs.toronto.edu/~kriz/cifar-10-python.tar.gz
170500096/170498071 [==============================] - 11s 0us/step
170508288/170498071 [==============================] - 11s 0us/step

Проверьте данные

Чтобы убедиться, что набор данных выглядит правильно, давайте построим первые 25 изображений из обучающего набора и отобразим имя класса под каждым изображением:

class_names = ['airplane', 'automobile', 'bird', 'cat', 'deer',
               'dog', 'frog', 'horse', 'ship', 'truck']

plt.figure(figsize=(10,10))
for i in range(25):
    plt.subplot(5,5,i+1)
    plt.xticks([])
    plt.yticks([])
    plt.grid(False)
    plt.imshow(train_images[i])
    # The CIFAR labels happen to be arrays, 
    # which is why you need the extra index
    plt.xlabel(class_names[train_labels[i][0]])
plt.show()

png

Создание сверточной базы

6 строк кода ниже определяют основу свертки, используя общий шаблон: стек слоев Conv2D и MaxPooling2D .

В качестве входных данных CNN принимает тензоры формы (image_height, image_width, color_channels), игнорируя размер пакета. Если вы новичок в этих измерениях, color_channels относится к (R, G, B). В этом примере вы настроите свою CNN для обработки входных данных формы (32, 32, 3), которая является форматом изображений CIFAR. Вы можете сделать это, передав аргумент input_shape вашему первому слою.

model = models.Sequential()
model.add(layers.Conv2D(32, (3, 3), activation='relu', input_shape=(32, 32, 3)))
model.add(layers.MaxPooling2D((2, 2)))
model.add(layers.Conv2D(64, (3, 3), activation='relu'))
model.add(layers.MaxPooling2D((2, 2)))
model.add(layers.Conv2D(64, (3, 3), activation='relu'))

Давайте покажем архитектуру вашей модели на данный момент:

model.summary()
Model: "sequential"
_________________________________________________________________
 Layer (type)                Output Shape              Param #   
=================================================================
 conv2d (Conv2D)             (None, 30, 30, 32)        896       
                                                                 
 max_pooling2d (MaxPooling2D  (None, 15, 15, 32)       0         
 )                                                               
                                                                 
 conv2d_1 (Conv2D)           (None, 13, 13, 64)        18496     
                                                                 
 max_pooling2d_1 (MaxPooling  (None, 6, 6, 64)         0         
 2D)                                                             
                                                                 
 conv2d_2 (Conv2D)           (None, 4, 4, 64)          36928     
                                                                 
=================================================================
Total params: 56,320
Trainable params: 56,320
Non-trainable params: 0
_________________________________________________________________

Выше вы можете видеть, что выходные данные каждого слоя Conv2D и MaxPooling2D представляют собой трехмерный тензор формы (высота, ширина, каналы). Размеры ширины и высоты имеют тенденцию уменьшаться по мере того, как вы углубляетесь в сеть. Количество выходных каналов для каждого слоя Conv2D управляется первым аргументом (например, 32 или 64). Как правило, по мере уменьшения ширины и высоты вы можете позволить (вычислительно) добавить больше выходных каналов в каждый слой Conv2D.

Добавьте плотные слои сверху

Чтобы завершить модель, вы передадите последний выходной тензор из сверточной базы (формы (4, 4, 64)) в один или несколько плотных слоев для выполнения классификации. Плотные слои принимают в качестве входных данных векторы (которые являются одномерными), а текущий вывод представляет собой трехмерный тензор. Сначала вы сгладите (или развернете) 3D-выход в 1D, а затем добавите один или несколько плотных слоев сверху. CIFAR имеет 10 выходных классов, поэтому вы используете последний плотный слой с 10 выходными данными.

model.add(layers.Flatten())
model.add(layers.Dense(64, activation='relu'))
model.add(layers.Dense(10))

Вот полная архитектура вашей модели:

model.summary()
Model: "sequential"
_________________________________________________________________
 Layer (type)                Output Shape              Param #   
=================================================================
 conv2d (Conv2D)             (None, 30, 30, 32)        896       
                                                                 
 max_pooling2d (MaxPooling2D  (None, 15, 15, 32)       0         
 )                                                               
                                                                 
 conv2d_1 (Conv2D)           (None, 13, 13, 64)        18496     
                                                                 
 max_pooling2d_1 (MaxPooling  (None, 6, 6, 64)         0         
 2D)                                                             
                                                                 
 conv2d_2 (Conv2D)           (None, 4, 4, 64)          36928     
                                                                 
 flatten (Flatten)           (None, 1024)              0         
                                                                 
 dense (Dense)               (None, 64)                65600     
                                                                 
 dense_1 (Dense)             (None, 10)                650       
                                                                 
=================================================================
Total params: 122,570
Trainable params: 122,570
Non-trainable params: 0
_________________________________________________________________

Сводка по сети показывает, что выходные данные (4, 4, 64) были сглажены в векторы формы (1024) перед прохождением через два плотных слоя.

Скомпилируйте и обучите модель

model.compile(optimizer='adam',
              loss=tf.keras.losses.SparseCategoricalCrossentropy(from_logits=True),
              metrics=['accuracy'])

history = model.fit(train_images, train_labels, epochs=10, 
                    validation_data=(test_images, test_labels))
Epoch 1/10
1563/1563 [==============================] - 8s 4ms/step - loss: 1.4971 - accuracy: 0.4553 - val_loss: 1.2659 - val_accuracy: 0.5492
Epoch 2/10
1563/1563 [==============================] - 6s 4ms/step - loss: 1.1424 - accuracy: 0.5966 - val_loss: 1.1025 - val_accuracy: 0.6098
Epoch 3/10
1563/1563 [==============================] - 6s 4ms/step - loss: 0.9885 - accuracy: 0.6539 - val_loss: 0.9557 - val_accuracy: 0.6629
Epoch 4/10
1563/1563 [==============================] - 6s 4ms/step - loss: 0.8932 - accuracy: 0.6878 - val_loss: 0.8924 - val_accuracy: 0.6935
Epoch 5/10
1563/1563 [==============================] - 6s 4ms/step - loss: 0.8222 - accuracy: 0.7130 - val_loss: 0.8679 - val_accuracy: 0.7025
Epoch 6/10
1563/1563 [==============================] - 6s 4ms/step - loss: 0.7663 - accuracy: 0.7323 - val_loss: 0.9336 - val_accuracy: 0.6819
Epoch 7/10
1563/1563 [==============================] - 6s 4ms/step - loss: 0.7224 - accuracy: 0.7466 - val_loss: 0.8546 - val_accuracy: 0.7086
Epoch 8/10
1563/1563 [==============================] - 6s 4ms/step - loss: 0.6726 - accuracy: 0.7611 - val_loss: 0.8777 - val_accuracy: 0.7068
Epoch 9/10
1563/1563 [==============================] - 6s 4ms/step - loss: 0.6372 - accuracy: 0.7760 - val_loss: 0.8410 - val_accuracy: 0.7179
Epoch 10/10
1563/1563 [==============================] - 6s 4ms/step - loss: 0.6024 - accuracy: 0.7875 - val_loss: 0.8475 - val_accuracy: 0.7192

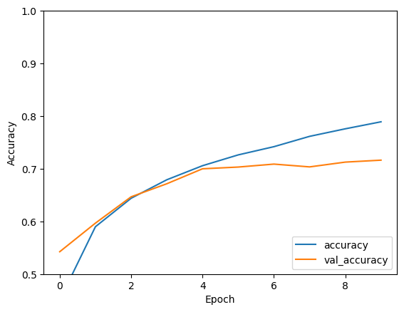
Оценить модель

plt.plot(history.history['accuracy'], label='accuracy')
plt.plot(history.history['val_accuracy'], label = 'val_accuracy')
plt.xlabel('Epoch')
plt.ylabel('Accuracy')
plt.ylim([0.5, 1])
plt.legend(loc='lower right')

test_loss, test_acc = model.evaluate(test_images,  test_labels, verbose=2)
313/313 - 1s - loss: 0.8475 - accuracy: 0.7192 - 634ms/epoch - 2ms/step

png

print(test_acc)
0.7192000150680542

Ваша простая CNN достигла точности теста более 70%. Неплохо для нескольких строк кода! Для другого стиля CNN ознакомьтесь с примером быстрого запуска TensorFlow 2 для экспертов , в котором используется API подклассов Keras и tf.GradientTape .