TensorFlow.org'da görüntüleyin | Google Colab'da çalıştırın | Kaynağı GitHub'da görüntüleyin | Not defterini indir |
Bu öğretici, CIFAR görüntülerini sınıflandırmak için basit bir Evrişimli Sinir Ağı (CNN) eğitimini gösterir. Bu öğretici Keras Sequential API kullandığından, modelinizi oluşturmak ve eğitmek yalnızca birkaç satır kod alacaktır.
TensorFlow'u İçe Aktar
import tensorflow as tf
from tensorflow.keras import datasets, layers, models
import matplotlib.pyplot as plt
CIFAR10 veri setini indirin ve hazırlayın
CIFAR10 veri seti, her sınıfta 6.000 görüntü olmak üzere 10 sınıfta 60.000 renkli görüntü içerir. Veri seti 50.000 eğitim görüntüsüne ve 10.000 test görüntüsüne bölünmüştür. Sınıflar birbirini dışlar ve aralarında örtüşme yoktur.
(train_images, train_labels), (test_images, test_labels) = datasets.cifar10.load_data()
# Normalize pixel values to be between 0 and 1
train_images, test_images = train_images / 255.0, test_images / 255.0
tutucu2 l10n-yerDownloading data from https://www.cs.toronto.edu/~kriz/cifar-10-python.tar.gz 170500096/170498071 [==============================] - 11s 0us/step 170508288/170498071 [==============================] - 11s 0us/step
Verileri doğrulayın
Veri kümesinin doğru göründüğünü doğrulamak için, eğitim kümesindeki ilk 25 görüntüyü çizelim ve her görüntünün altında sınıf adını görüntüleyelim:
class_names = ['airplane', 'automobile', 'bird', 'cat', 'deer',
'dog', 'frog', 'horse', 'ship', 'truck']
plt.figure(figsize=(10,10))
for i in range(25):
plt.subplot(5,5,i+1)
plt.xticks([])
plt.yticks([])
plt.grid(False)
plt.imshow(train_images[i])
# The CIFAR labels happen to be arrays,
# which is why you need the extra index
plt.xlabel(class_names[train_labels[i][0]])
plt.show()

Evrişimli tabanı oluşturun
Aşağıdaki 6 kod satırı, ortak bir model kullanarak evrişimli tabanı tanımlar: bir Conv2D ve MaxPooling2D katmanları yığını.
Girdi olarak, bir CNN, parti boyutunu göz ardı ederek şekil tensörlerini (image_height, image_width, color_channels) alır. Bu boyutlarda yeniyseniz, color_channels (R,G,B) anlamına gelir. Bu örnekte, CNN'nizi, CIFAR görüntülerinin formatı olan şekil girişlerini (32, 32, 3) işlemek için yapılandıracaksınız. Bunu input_shape argümanını ilk katmanınıza ileterek yapabilirsiniz.
model = models.Sequential()
model.add(layers.Conv2D(32, (3, 3), activation='relu', input_shape=(32, 32, 3)))
model.add(layers.MaxPooling2D((2, 2)))
model.add(layers.Conv2D(64, (3, 3), activation='relu'))
model.add(layers.MaxPooling2D((2, 2)))
model.add(layers.Conv2D(64, (3, 3), activation='relu'))
Şimdiye kadar modelinizin mimarisini gösterelim:
model.summary()
tutucu6 l10n-yer
Model: "sequential"
_________________________________________________________________
Layer (type) Output Shape Param #
=================================================================
conv2d (Conv2D) (None, 30, 30, 32) 896
max_pooling2d (MaxPooling2D (None, 15, 15, 32) 0
)
conv2d_1 (Conv2D) (None, 13, 13, 64) 18496
max_pooling2d_1 (MaxPooling (None, 6, 6, 64) 0
2D)
conv2d_2 (Conv2D) (None, 4, 4, 64) 36928
=================================================================
Total params: 56,320
Trainable params: 56,320
Non-trainable params: 0
_________________________________________________________________
Yukarıda, her Conv2D ve MaxPooling2D katmanının çıktısının bir 3B şekil tensörü (yükseklik, genişlik, kanallar) olduğunu görebilirsiniz. Ağda daha derine indikçe genişlik ve yükseklik boyutları küçülme eğilimindedir. Her Conv2D katmanı için çıktı kanallarının sayısı, ilk argüman tarafından kontrol edilir (örneğin, 32 veya 64). Tipik olarak, genişlik ve yükseklik küçüldükçe, her Conv2D katmanına daha fazla çıktı kanalı eklemeyi (hesaplamalı olarak) karşılayabilirsiniz.
Üzerine Yoğun katmanlar ekleyin
Modeli tamamlamak için, sınıflandırma gerçekleştirmek için konvolüsyonel tabandan (şekil (4, 4, 64)) son çıktı tensörünü bir veya daha fazla Yoğun katmana besleyeceksiniz. Yoğun katmanlar, giriş olarak vektörleri (1B olan) alırken, mevcut çıktı bir 3B tensördür. İlk olarak, 3B çıktıyı 1B olarak düzleştirecek (veya açacaksınız), ardından üstüne bir veya daha fazla Yoğun katman ekleyeceksiniz. CIFAR'ın 10 çıktı sınıfı vardır, bu nedenle 10 çıktılı son bir Yoğun katman kullanırsınız.
model.add(layers.Flatten())
model.add(layers.Dense(64, activation='relu'))
model.add(layers.Dense(10))
İşte modelinizin tam mimarisi:
model.summary()
tutucu9 l10n-yer
Model: "sequential"
_________________________________________________________________
Layer (type) Output Shape Param #
=================================================================
conv2d (Conv2D) (None, 30, 30, 32) 896
max_pooling2d (MaxPooling2D (None, 15, 15, 32) 0
)
conv2d_1 (Conv2D) (None, 13, 13, 64) 18496
max_pooling2d_1 (MaxPooling (None, 6, 6, 64) 0
2D)
conv2d_2 (Conv2D) (None, 4, 4, 64) 36928
flatten (Flatten) (None, 1024) 0
dense (Dense) (None, 64) 65600
dense_1 (Dense) (None, 10) 650
=================================================================
Total params: 122,570
Trainable params: 122,570
Non-trainable params: 0
_________________________________________________________________
Ağ özeti, (4, 4, 64) çıktılarının, iki Yoğun katmandan geçmeden önce şekil vektörlerine (1024) düzleştirildiğini gösterir.
Modeli derleyin ve eğitin
model.compile(optimizer='adam',
loss=tf.keras.losses.SparseCategoricalCrossentropy(from_logits=True),
metrics=['accuracy'])
history = model.fit(train_images, train_labels, epochs=10,
validation_data=(test_images, test_labels))
tutucu11 l10n-yerEpoch 1/10 1563/1563 [==============================] - 8s 4ms/step - loss: 1.4971 - accuracy: 0.4553 - val_loss: 1.2659 - val_accuracy: 0.5492 Epoch 2/10 1563/1563 [==============================] - 6s 4ms/step - loss: 1.1424 - accuracy: 0.5966 - val_loss: 1.1025 - val_accuracy: 0.6098 Epoch 3/10 1563/1563 [==============================] - 6s 4ms/step - loss: 0.9885 - accuracy: 0.6539 - val_loss: 0.9557 - val_accuracy: 0.6629 Epoch 4/10 1563/1563 [==============================] - 6s 4ms/step - loss: 0.8932 - accuracy: 0.6878 - val_loss: 0.8924 - val_accuracy: 0.6935 Epoch 5/10 1563/1563 [==============================] - 6s 4ms/step - loss: 0.8222 - accuracy: 0.7130 - val_loss: 0.8679 - val_accuracy: 0.7025 Epoch 6/10 1563/1563 [==============================] - 6s 4ms/step - loss: 0.7663 - accuracy: 0.7323 - val_loss: 0.9336 - val_accuracy: 0.6819 Epoch 7/10 1563/1563 [==============================] - 6s 4ms/step - loss: 0.7224 - accuracy: 0.7466 - val_loss: 0.8546 - val_accuracy: 0.7086 Epoch 8/10 1563/1563 [==============================] - 6s 4ms/step - loss: 0.6726 - accuracy: 0.7611 - val_loss: 0.8777 - val_accuracy: 0.7068 Epoch 9/10 1563/1563 [==============================] - 6s 4ms/step - loss: 0.6372 - accuracy: 0.7760 - val_loss: 0.8410 - val_accuracy: 0.7179 Epoch 10/10 1563/1563 [==============================] - 6s 4ms/step - loss: 0.6024 - accuracy: 0.7875 - val_loss: 0.8475 - val_accuracy: 0.7192
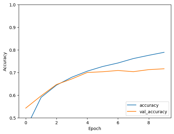
Modeli değerlendirin
plt.plot(history.history['accuracy'], label='accuracy')
plt.plot(history.history['val_accuracy'], label = 'val_accuracy')
plt.xlabel('Epoch')
plt.ylabel('Accuracy')
plt.ylim([0.5, 1])
plt.legend(loc='lower right')
test_loss, test_acc = model.evaluate(test_images, test_labels, verbose=2)
tutucu13 l10n-yer313/313 - 1s - loss: 0.8475 - accuracy: 0.7192 - 634ms/epoch - 2ms/step

print(test_acc)
tutucu15 l10n-yer0.7192000150680542
Basit CNN'niz %70'in üzerinde bir test doğruluğu elde etti. Birkaç satır kod için fena değil! Başka bir CNN stili için, Keras alt sınıflama API'sini ve tf.GradientTape kullanan uzmanlar için TensorFlow 2 hızlı başlangıcına bakın.
TensorFlow.org'da görüntüleyin
Google Colab'da çalıştırın
Kaynağı GitHub'da görüntüleyin
Not defterini indir