Rete neurale convoluzionale (CNN)

Visualizza su TensorFlow.org Esegui in Google Colab Visualizza l'origine su GitHub Scarica quaderno

Questo tutorial mostra l'addestramento di una semplice rete neurale convoluzionale (CNN) per classificare le immagini CIFAR . Poiché questo tutorial utilizza l' API Keras Sequential , la creazione e il training del modello richiederanno solo poche righe di codice.

Importa TensorFlow

import tensorflow as tf

from tensorflow.keras import datasets, layers, models
import matplotlib.pyplot as plt

Scarica e prepara il set di dati CIFAR10

Il set di dati CIFAR10 contiene 60.000 immagini a colori in 10 classi, con 6.000 immagini in ciascuna classe. Il set di dati è suddiviso in 50.000 immagini di addestramento e 10.000 immagini di test. Le classi si escludono a vicenda e non vi è alcuna sovrapposizione tra di loro.

(train_images, train_labels), (test_images, test_labels) = datasets.cifar10.load_data()

# Normalize pixel values to be between 0 and 1
train_images, test_images = train_images / 255.0, test_images / 255.0
Downloading data from https://www.cs.toronto.edu/~kriz/cifar-10-python.tar.gz
170500096/170498071 [==============================] - 11s 0us/step
170508288/170498071 [==============================] - 11s 0us/step

Verifica i dati

Per verificare che il set di dati sia corretto, tracciamo le prime 25 immagini del set di addestramento e visualizziamo il nome della classe sotto ogni immagine:

class_names = ['airplane', 'automobile', 'bird', 'cat', 'deer',
               'dog', 'frog', 'horse', 'ship', 'truck']

plt.figure(figsize=(10,10))
for i in range(25):
    plt.subplot(5,5,i+1)
    plt.xticks([])
    plt.yticks([])
    plt.grid(False)
    plt.imshow(train_images[i])
    # The CIFAR labels happen to be arrays, 
    # which is why you need the extra index
    plt.xlabel(class_names[train_labels[i][0]])
plt.show()

png

Crea la base convoluzionale

Le 6 righe di codice seguenti definiscono la base convoluzionale utilizzando un modello comune: uno stack di livelli Conv2D e MaxPooling2D .

Come input, una CNN prende i tensori di forma (image_height, image_width, color_channels), ignorando la dimensione del batch. Se non conosci queste dimensioni, color_channels si riferisce a (R,G,B). In questo esempio, configurerai la tua CNN per elaborare input di forma (32, 32, 3), che è il formato delle immagini CIFAR. Puoi farlo passando l'argomento input_shape al tuo primo livello.

model = models.Sequential()
model.add(layers.Conv2D(32, (3, 3), activation='relu', input_shape=(32, 32, 3)))
model.add(layers.MaxPooling2D((2, 2)))
model.add(layers.Conv2D(64, (3, 3), activation='relu'))
model.add(layers.MaxPooling2D((2, 2)))
model.add(layers.Conv2D(64, (3, 3), activation='relu'))

Mostriamo l'architettura del tuo modello finora:

model.summary()
Model: "sequential"
_________________________________________________________________
 Layer (type)                Output Shape              Param #   
=================================================================
 conv2d (Conv2D)             (None, 30, 30, 32)        896       
                                                                 
 max_pooling2d (MaxPooling2D  (None, 15, 15, 32)       0         
 )                                                               
                                                                 
 conv2d_1 (Conv2D)           (None, 13, 13, 64)        18496     
                                                                 
 max_pooling2d_1 (MaxPooling  (None, 6, 6, 64)         0         
 2D)                                                             
                                                                 
 conv2d_2 (Conv2D)           (None, 4, 4, 64)          36928     
                                                                 
=================================================================
Total params: 56,320
Trainable params: 56,320
Non-trainable params: 0
_________________________________________________________________

Sopra, puoi vedere che l'output di ogni livello Conv2D e MaxPooling2D è un tensore di forma 3D (altezza, larghezza, canali). Le dimensioni di larghezza e altezza tendono a ridursi man mano che ci si addentra nella rete. Il numero di canali di output per ogni livello Conv2D è controllato dal primo argomento (ad esempio, 32 o 64). In genere, poiché la larghezza e l'altezza si riducono, puoi permetterti (dal punto di vista computazionale) di aggiungere più canali di output in ogni livello Conv2D.

Aggiungi strati densi in cima

Per completare il modello, alimenterai l'ultimo tensore di uscita dalla base convoluzionale (di forma (4, 4, 64)) in uno o più strati densi per eseguire la classificazione. I livelli densi prendono i vettori come input (che sono 1D), mentre l'output corrente è un tensore 3D. Innanzitutto, appiattirai (o srotolerai) l'output 3D in 1D, quindi aggiungerai uno o più livelli Dense in cima. CIFAR ha 10 classi di output, quindi usi un livello Dense finale con 10 output.

model.add(layers.Flatten())
model.add(layers.Dense(64, activation='relu'))
model.add(layers.Dense(10))

Ecco l'architettura completa del tuo modello:

model.summary()
Model: "sequential"
_________________________________________________________________
 Layer (type)                Output Shape              Param #   
=================================================================
 conv2d (Conv2D)             (None, 30, 30, 32)        896       
                                                                 
 max_pooling2d (MaxPooling2D  (None, 15, 15, 32)       0         
 )                                                               
                                                                 
 conv2d_1 (Conv2D)           (None, 13, 13, 64)        18496     
                                                                 
 max_pooling2d_1 (MaxPooling  (None, 6, 6, 64)         0         
 2D)                                                             
                                                                 
 conv2d_2 (Conv2D)           (None, 4, 4, 64)          36928     
                                                                 
 flatten (Flatten)           (None, 1024)              0         
                                                                 
 dense (Dense)               (None, 64)                65600     
                                                                 
 dense_1 (Dense)             (None, 10)                650       
                                                                 
=================================================================
Total params: 122,570
Trainable params: 122,570
Non-trainable params: 0
_________________________________________________________________

Il riepilogo della rete mostra che (4, 4, 64) le uscite sono state appiattite in vettori di forma (1024) prima di passare attraverso due strati densi.

Compila e addestra il modello

model.compile(optimizer='adam',
              loss=tf.keras.losses.SparseCategoricalCrossentropy(from_logits=True),
              metrics=['accuracy'])

history = model.fit(train_images, train_labels, epochs=10, 
                    validation_data=(test_images, test_labels))
Epoch 1/10
1563/1563 [==============================] - 8s 4ms/step - loss: 1.4971 - accuracy: 0.4553 - val_loss: 1.2659 - val_accuracy: 0.5492
Epoch 2/10
1563/1563 [==============================] - 6s 4ms/step - loss: 1.1424 - accuracy: 0.5966 - val_loss: 1.1025 - val_accuracy: 0.6098
Epoch 3/10
1563/1563 [==============================] - 6s 4ms/step - loss: 0.9885 - accuracy: 0.6539 - val_loss: 0.9557 - val_accuracy: 0.6629
Epoch 4/10
1563/1563 [==============================] - 6s 4ms/step - loss: 0.8932 - accuracy: 0.6878 - val_loss: 0.8924 - val_accuracy: 0.6935
Epoch 5/10
1563/1563 [==============================] - 6s 4ms/step - loss: 0.8222 - accuracy: 0.7130 - val_loss: 0.8679 - val_accuracy: 0.7025
Epoch 6/10
1563/1563 [==============================] - 6s 4ms/step - loss: 0.7663 - accuracy: 0.7323 - val_loss: 0.9336 - val_accuracy: 0.6819
Epoch 7/10
1563/1563 [==============================] - 6s 4ms/step - loss: 0.7224 - accuracy: 0.7466 - val_loss: 0.8546 - val_accuracy: 0.7086
Epoch 8/10
1563/1563 [==============================] - 6s 4ms/step - loss: 0.6726 - accuracy: 0.7611 - val_loss: 0.8777 - val_accuracy: 0.7068
Epoch 9/10
1563/1563 [==============================] - 6s 4ms/step - loss: 0.6372 - accuracy: 0.7760 - val_loss: 0.8410 - val_accuracy: 0.7179
Epoch 10/10
1563/1563 [==============================] - 6s 4ms/step - loss: 0.6024 - accuracy: 0.7875 - val_loss: 0.8475 - val_accuracy: 0.7192

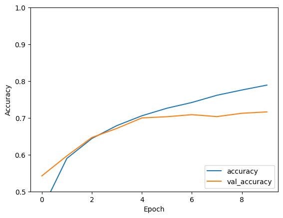
Valuta il modello

plt.plot(history.history['accuracy'], label='accuracy')
plt.plot(history.history['val_accuracy'], label = 'val_accuracy')
plt.xlabel('Epoch')
plt.ylabel('Accuracy')
plt.ylim([0.5, 1])
plt.legend(loc='lower right')

test_loss, test_acc = model.evaluate(test_images,  test_labels, verbose=2)
313/313 - 1s - loss: 0.8475 - accuracy: 0.7192 - 634ms/epoch - 2ms/step

png

print(test_acc)
0.7192000150680542

La tua semplice CNN ha raggiunto un'accuratezza del test di oltre il 70%. Non male per poche righe di codice! Per un altro stile CNN, consulta l'esempio di avvio rapido di TensorFlow 2 per esperti che utilizza l'API di sottoclasse Keras e tf.GradientTape .